Evaluating equations

Know how to evaluate equations, equation transformation, equation matrix, addition, multiplication, division, rules pop-up and overrides in FrameMaker.

After you create an expression or equation, you can transform it by changing its mathematical representation. For example, you can multiply polynomials, factor terms, simplify expressions, and combine fractions.

Original selection

Transform anexpression or equation by changing its mathematical representation—originalselection

Expanded

Transforman expression or equation by changing its mathematical representation—expanded

Multiplied out

Transforman expression or equation by changing its mathematical representation—multipliedout

Multiplied out again

Transforman expression or equation by changing its mathematical representation—multipliedout again

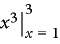
You can also evaluate equations by substituting values and performing computations.

Original selection

Evaluate equationsby Substituting values and performing computations—original selection

Expanded

Evaluateequations bySubstituting values and performing computations—expanded

Value substituted

Evaluate equationsby Substituting values and performing computations—value substituted

Result computed

Evaluate equationsby Substituting values and performing computations—result computed