Multiplication drop-down list

Use the Multiplication drop-down list on the Functions page to factor terms, multiply out expressions, and distribute multiplication and division over addition.

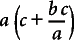
Factor

Factors a selected term out of a product.

Before factoring

After factoring

Before factoringa selected term out of a product

After factoringa selected term out of a product

Before factoringa selected term out of a product

After factoringa selected term out of a product

Factor Some

Factors a selected term from only those terms that contain it.

Before factoring

After factoring

Before factoringa selected term from only those terms that contain it

After factoringa selected term from only those terms that contain it

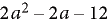
Multiply Out

Simplifies the selected expression, distributes multiplication over addition, and expands a selected term raised to a positive integral power.

Selected expression

After multiplying

Expression1 selected to be multiplied out

Expression1 after it is multiplied out

Expression2 selected to be multiplied out

Expression2 after it is multiplied out

The Simplify command also simplifies the selected expression.

Multiply Out Once

Multiplies the first pair of factors on the left side of a selected expression.

Selected expression

After multiplying

Selectingan expression to multiply the first pair of factors on the leftside

The expressionafter the multiplication

If you use this command several times, the results appear in a different form.

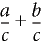
Distribute

Performs a variety of operations depending on the expression you select, as shown in the following examples:

  • Distributes division over addition.

    Selected expression

    After distributing

    Selectingan expression to distribute division over addition

    The expressionafter the distribution

    Use the Add Fractions command to perform the reverse operation.

  • Distributes multiplication over addition.

    Selected expression

    After distributing

    Selecting anexpression to distribute multiplication over addition

    The expressionafter the distribution

    Use the Factor command to perform the reverse operation.

  • Transforms products and quotients involving radicals and exponents into a single expression raised to a power.

    Selected expression

    After distributing

    Transformingproducts and quotients involving radicals and exponents into a singleexpression raised to apower—example 1

    Example1 after distributing

    Transformingproducts and quotients involving radicals and exponents into a singleexpression raised to apower—example 2

    Example2 after distributing

    Transformingproductsand quotients involving radicals and exponents into a singleexpression raised to apower—example 3

    Example 3 afterdistributing

    Use the Simplify command to perform the reverse operation.

Distribute Over Equality

Performs the same operation on both sides of an equal sign.

Selected expression

After distributing

Selected expressionto distribute over equality—example 1

Example 1after distributing

Selectedexpression to distribute over equality—example 2

Example 2after distributing

Selectedexpression to distribute over equality—example 3

Example3 after distributing