Addition drop-down list

Add Fractions

Adds selected fractions, expressing the result as a single fraction. This command also combines like terms.

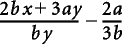
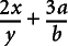
Selected fraction

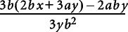
After adding

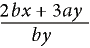
Selected fraction1

After addingfraction 1

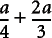
Selected fraction2

After addingfraction 2

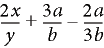
Selectedfraction 3

After addingfraction 3

If the selected expression contains the sum of more than two fractions, Add Fractions adds only the first two. Use this command repeatedly to combine all the fractions.

Selected expression

Selected expressioncontaining sum of more than two fractions

Added once

Adding theexpression containing sum of more than two fractions once

Added twice

Addingthe expression containing sum of more than two fractions twice

Order Sum

Arranges polynomials in decreasing powers of a selected variable.

Before ordering

After ordering

Before orderingpolynomials in decreasing powers of a selected variable

After orderingpolynomials in decreasing powers of a selected variable

Order Sum Reverse

Arranges polynomials in increasing powers of a selected variable. In the following example, you select an x—any x—before choosing Order Sum Reverse.

Before ordering

After ordering

Before orderingpolynomials in increasing powers of a selected variable

After orderingpolynomials in increasing powers of a selected variable