Division drop-down list

Long Division

Performs long division in a fraction that contains a polynomial numerator and denominator.

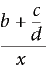
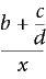
In the following example, you select an x—any x—before choosing Long Division. You select an x in the fraction of the first result and choose Long Division again to obtain the second result.

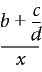
Before dividing

Before performinglong division in a fraction that contains a polynomial numeratorand denominator

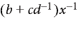
Divided once

After performinglong division once in a fraction that contains a polynomial numeratorand denominator

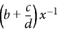
Divided twice

After performinglong division twice in a fraction that contains a polynomial numeratorand denominator

Remove Division

Converts division to multiplication in a selected expression by changing positive exponents in a denominator to negative and negative exponents in a denominator to positive.

Selected expression

After removing division

Using RemoveDevision to convert division to multiplication in selected expression1

After convertingdivision to multiplication in selected expression 1

Using RemoveDevision to convert division to multiplication in selected expression2

After convertingdivision to multiplication in selected expression 2

To convert negative exponents to division operators, use the Remove Negative Powers command.

Remove Division 1 Level

Converts division to multiplication, as Remove Division does, but applies only to the first level of operators.

Selected expression

After removing division

Using RemoveDivision1 Level to convert division to multiplication in selectedexpression 1

After convertingdivision to multiplication in selected expression 1

Using RemoveDivision 1 Level to convert division to multiplication in selectedexpression 2

After convertingdivision to multiplication in selected expression 2

To convert the first level of negative exponents into division operators, use the Remove Negative Powers 1 Level command.

Remove Negative Powers

Converts negative exponents to positive in a selected expression by replacing multiplication with division and division with multiplication.

Selected expression

After removing negative powers

Using RemoveNegative Powers to convert negative exponents to positive in selectedexpression 1

After removingnegative powers from selected expression 1

Using RemoveNegative Powers to convert negative exponents to positive in selectedexpression 2

After removingnegative powers from selected expression 2

Remove Negative Powers 1 Level

Converts negative exponents to positive, as Remove Negative Powers does, but applies only to the first level. If the selected expression has no negative exponents at the first level, this command has no effect.

Selected expression

After removing negative powers

Using RemoveNegative Powers 1 Level to convert negative exponents to positivein selected expression 1

After removingnegative powers from selected expression 1

Using RemoveNegative Powers 1 Level to convert negative exponents to positivein selected expression 2

After removingnegative powers from selected expression 2 (no effect)