Evaluation drop-down list

Number Crunch

Changes integers to floating-point numbers in a selected expression and then evaluates the expression.

Selected expression

After number crunch

Using NumberCrunch to change integers to floating-point numbers in selectedexpression1 and then evaluating the expression

After usingNumber Crunch on selected expression 1

Uusing NumberCrunch to change integers to floating-point numbers in selectedexpression2 and then evaluating the expression

After usingNumber Crunch on selected expression 2

Uusing NumberCrunch to change integers to floating-point numbers in selectedexpression3 and then evaluating the expression

After usingNumber Crunch on selected expression 3

Using NumberCrunch to change integers to floating-point numbers in selectedexpression4 and then evaluating the expression

After usingNumber Crunch on selected expression 4

Use the Show All Digits command to show up to 15 decimal places in a floating-point number.

Number Crunch displays NaN (Not a Number) for operations that result in undefined values. It displays Infinity for operations that result in a value too large to calculate. Small numbers can sometimes be evaluated to zero.

Selected expression

After number crunch

using NumberCrunch displays NaN (Notal Number) for operations that result inundefined values for expression 1

After usingNumber Crunch on expression 1

Using NumberCrunch displays NaN (Notal Number) for operations that result inundefined values for expression 2

After usingNumber Crunch on expression 2

Show All Digits

Shows the full internal accuracy of a floating-point number.

Selected number

After showing all digits

Selected numberto show all digits

After showingall digits

Evaluate

Evaluates the selected expression. The operations performed depend on the type of expression selected, as shown in the following examples:

  • Rewrites an expression raised to a power less than 20 as a product.

    Selected expression

    After evaluating

    Selectedexpression to raise to a powerless than 20 as a product

    After evaluatingthe expression with the raised power

  • Computes the factorial of an integer. If the result is too large to calculate, the result appears as Infinity.

    Selected expression

    After evaluating

    Selected expressionto compute the factorial of an integer

    After evaluatingthe expression with the factorial of an integer

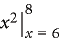
  • Computes the determinant of a 1-by-1 or 2-by-2 matrix.

    Selected expression

    After evaluating

    Selectedexpression to compute the determinant of a matrix

    After evaluatingthe expression with the determinant of a matrix

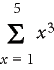
  • Extracts a term from a sum or product.

    Selected expression

    After evaluating

    Selectedexpression to extract a term from a sum or product

    After evaluatingthe expression with a term from a sum or product

  • Evaluates a substitution just as the Evaluate Substitution command does.

  • Rewrites an Evaluate Between operator as a difference.

    Selected expression

    After evaluating

    Selected expressionto rewrite an Evaluate Between operator as a difference

    Resultafter evaluating the expression

  • Rewrites the logarithm of a product as a sum of logarithms and rewrites a logarithm of a power as a product.

    Selected expression

    After evaluating

    Selectedexpression to rewritethelogarithm of a product

    Result afterevaluating the expresison

    Selectedexpression to rewrite the logarithm of a product

    Result afterevaluating the expresison

  • Rewrites a logarithm to a base in terms of natural logarithms.

    Selected expression

    After evaluating

    Selected expressionto rewrite alogarithm to a base in terms of natural logarithms

    Result afterevaluating the expresison

  • Rewrites a choice function in terms of factorials.

    Selected expression

    After evaluating

    Selectedexpression to rewrite a choice function in terms of factorials

    Result afterevaluating the expresison

Evaluate Substitution

Performs a specified substitution and then simplifies the expression. When an Evaluate Between operator is selected, this command rewrites the expression as a difference.

Selected expression

After evaluating

Selected expressionto perform a specified substitution and then simplifying the expression

Resultafter evaluating the expresison

Selected expressionto perform a specified substitution and then simplifying the expression

Result afterevaluating the expresison

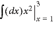
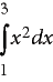
Evaluate Integrals

Rewrites a selected integral with a polynomial integrand. This command converts a definite integral into an indefinite integral evaluated between the upper and lower bounds. Use Evaluate Integrals several times to integrate a polynomial fully.

Selected expression

Selected expressionto rewrite a selected integral with a polynomial integrand

Evaluated once

Result afterevaluating the expression once

Evaluated twice

Result afterevaluating the expression twice

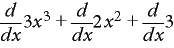
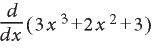
Evaluate Derivatives

Evaluates a selected derivative, applying the chain rule to complex expressions when necessary. This command evaluates a partial derivative only when all dependencies are explicitly written.

This command treats elements in a total derivative as if they depended on the variable of differentiation. Use the Evaluate command to expand an nth derivative before using Evaluate Derivatives to evaluate it.

Before

After

Before usingEvaluate Derivatives on an expression

After usingEvaluate Derivatives on an expression

Before usingEvaluate Derivatives on an expression

After usingEvaluate Derivatives on an expression

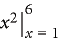
Evaluate Derivatives 1 Level

Evaluates only the first level of a selected derivative.

Before

After

Before usingEvaluate Derivatives on the first level of a selected derivative

After usingEvaluate Derivatives on the first level of a selected derivative