Other Rewrites drop-down list

Simplify

Simplifies the selected expression. To evaluate fractions that involve infinity or division by zero, use the Number Crunch command instead of Simplify.

The operations performed depend on the type of expression selected, as shown in the following examples:

  • Performs integer arithmetic.

    Selected expression

    After simplifying

    Selected expressionto perform integer arithmetic with Simplify command

    Result aftersimplifying the expression

    Selected expressionto perform integer arithmetic with Simplify command

    Result aftersimplifying the expression

    Selected expressionto perform integer arithmetic with Simplify command

    Result aftersimplifying the expression

    When the result is too large to calculate, it appears as Infinity.

  • Groups terms in a sum or product.

    Selected expression

    After simplifying

    Selected expressionto group terms in a sum or product with Simplify command

    Result aftersimplifying the expression

    Selected expressionto group terms in a sum or product with Simplify command

    Result aftersimplifying the expression

    Selectedexpression to group terms in a sum or product with Simplify command

    Result aftersimplifying the expression

  • Divides out common factors in a fraction.

    Selected expression

    After simplifying

    Selected expressionto divide out common factors in a fraction with Simplify command

    Result aftersimplifying the expression

    Selected expressionto divide out common factors in a fraction with Simplify command

    Result aftersimplifying the expression

    Use the Remove Negative Powers command to remove negative powers from the result.

  • Interprets the complex number i, represented by the Greek letter iota iota symbol.

    Selected expression

    After simplifying

    Selected expressionto interpret the complex number i with Simplify command

    Result aftersimplifying the expression

  • Distributes exponentiation across multiplication and division.

    Selected expression

    After simplifying

    Selected expressionto distribute exponentiation across multiplication with Simplifycommand

    Result aftersimplifying the expression

    Selectedexpression to distribute exponentiation across division with Simplifycommand

    Result aftersimplifying the expression

    Simplifying simplifyingroot of x square x produces resultof simplifying root of x square rather than mod x.

Simplify Some

Simplifies the selected expression, as the Simplify command does, but does not multiply fractions.

Selected expression

After simplifying

Using SimplifySome command with selected expression to simplify the selected expressionwithout multipling fractions

Result aftersimplifying the expression

Isolate Term

Isolates a selected expression on one side of the equal sign. This command does not combine terms or solve for the selected expression.

Selected expression

After isolating term

Using Isolateterm command to isolate a selected expression on one side of theequal sign

Result afterisolating the expression

Using Isolateterm command to isolate a selected expression on one side of theequal sign

Result afterisolating the expression

Using Isolateterm command to isolate a selected expression on one side of theequal sign

Result afterisolating the expression

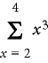
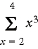
Expand First Term

Expands the first term of a selected summation or product.

Selected expression

After expanding

Using ExpandFirst Term command to expand the first term of a selected summation

Result afterexpanding the expression

Using ExpandFirst Term command to expand the first term of a selected product

Result afterexpanding the expression

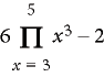
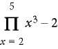
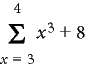
Expand All Terms

Expands all terms of a selected summation or product.

Selected expression

After expanding

Using ExpandAll Term command to expand terms of a selected summation

Result afterexpanding the expression

Using ExpandAll Term command to expand terms of a selected product

Result afterexpanding the expression