Connaître le placement et l’affichage des équations, les équations en ligne dans les documents structurés, les équations dans les cadres graphiques de FrameMaker.
Vous pouvez placer une équation de façon à l’intégrer à un texte de paragraphe ou l’afficher dans un paragraphe distinct. Dans les deux cas, FrameMaker crée un cadre ancré destiné à l’équation. Vous pouvez positionner une équation avec d’autres objets dans un cadre graphique existant, par exemple, pour annoter un graphique. Les cadres graphiques contenant des équations peuvent être ancrés ou non.

A. Insertion B. Affichage C. Equation dans un graphique avec d’autres objets
Un élément équation crée un cadre et un objet équation dans lequel vous pouvez insérer des expressions mathématiques. A l’image d’un cadre ancré de graphique, un cadre d’équation est ancré à un endroit spécifique dans le texte.
Vous pouvez insérer un élément équation de manière à l’intégrer à un paragraphe de texte ou l’insérer dans un paragraphe distinct.

A. Equation intégrée B. Equation affichée
Un élément équation apparaît dans la structure du document à l’endroit où il est ancré au texte, quelle que soit sa position sur la page. Dans la Vue de la structure, une bulle carrée avec l’extrait <EQUATION> indique un élément d’équation. L’équation en elle-même ne fait pas partie de la structure.

Si vous exportez au format SGML ou XML, FrameMaker écrit l’équation dans un fichier graphique distinct (format CGM). Ensuite, FrameMaker lui ajoute une référence d’entité à partir de votre fichier SGML ou XML.
Vous pouvez modifier le format de fichier pour les équations à l’aide d’une règle de lecture/écriture. Si vous passez au format MIF, FrameMaker effectue le suivi des équations et de leurs noms de fichiers respectifs. Le fait d’enregistrer l’équation plusieurs fois l’enregistre dans un seul et même fichier au lieu de créer plusieurs fichiers comme dans FrameMaker 9.
Nouveau comportement |
Ancien comportement |
|---|---|
L’équation 1 est enregistrée dans un fichier, disons eq1.mif La modification du contenu FrameMaker et l’enregistrement ultérieur du fichier enregistre l’équation 1 dans le même fichier eq1.mif. FrameMaker ne crée PAS de nouveaux fichiers lors de chaque enregistrement de la même équation. |
L’équation 1 est enregistrée dans un fichier, disons eq1.mif La modification du contenu FrameMaker et l’enregistrement ultérieur du fichier créent un fichier, , disons eq2.mif pour la même équation 1. FrameMaker crée de nouveaux fichiers lors de chaque enregistrement de la même équation. |
Vous pouvez également placer une équation dans un cadre ancré inséré pour recevoir des graphiques. Cette opération vous permet de combiner l’équation à des objets graphiques. Si le cadre ancré est un élément, celui-ci fait partie de la structure du document. Toutefois, le contenu du cadre, y compris l’équation, n’apparaît pas dans la structure.
Il arrive parfois qu’une équation insérée dans un cadre ancré contenant des graphiques ne produise pas les résultats escomptés si vous l’exportez au format SGML ou XML. De manière générale, placez un seul objet par cadre lorsque vous prévoyez d’exporter au format SGML ou XML.
Connaître le conteneur d’équations et ses différents paramètres dans FrameMaker.
Le conteneur Equations contient les commandes permettant de créer et de modifier des équations. Elle contient également des symboles, des opérateurs, des fonctions et autres éléments mathématiques à insérer dans les équations. Pour afficher le conteneur, cliquez sur dans le menu principal.

A. Le menu déroulant Équations s’affiche sur chaque page. B. Cette partie du conteneur varie d’une page à une autre. C. Les noms des pages apparaissent ici, avec mise en surbrillance de la page en cours.
Le conteneur Equations dispose de neuf pages d’éléments mathématiques et de commandes. Pour afficher une page, cliquez sur son nom dans la partie supérieure du conteneur.
Caractères grecs, symboles atomiques, signes diacritiques et chaîne de caractères.
Radicaux, puissances, signes, indices, exposants et symboles logiques.
Sommes, produits, intégrales, intersections et unions.
Parenthèses, crochets, accolades et substitution.
Egal, inférieur à, supérieur à, similaire à, sous-ensemble de, sur-ensemble de et proportionnel à.
Intégrales, dérivées, dérivées partielles, gradients et limites.
Matrices et commandes matricielles.
Fonctions trigonométriques, hyperboliques et logarithmiques ; commandes de calcul d’expressions et commandes de création et d’application de règles.
Boutons d’ajustement de la position d’une expression et de l’espace qui l’entoure, commandes de définition de l’alignement et commandes d’insertion et de suppression des sauts de ligne manuels.
Découvrez comment créer des équations et les utiliser dans vos documents FrameMaker.
Pour créer une équation, insérez un objet d’équation dans le document, puis placez les éléments mathématiques dans l’équation.
Cliquez sur l’emplacement du texte où vous désirez insérer l’équation. Si le texte se trouve dans un cadre pivoté, sélectionnez-le et appuyez sur les touches Echap, g, 0 (zéro) pour remettre le cadre en position normale.
Sélectionnez .
Dans le conteneur Equations, choisissez l’une des commandes Nouvelle équation du menu déroulant Equations. Les options Petite, Moyenne et Grande spécifient les tailles de polices utilisées dans la nouvelle équation.
Un nouvel objet d’équation s’affiche sous forme de point d’interrogation dans un cadre ancré situé sous la ligne comportant le point d’insertion. Le premier élément mathématique inséré remplace le point d’interrogation.

Insérez les éléments mathématiques dans l’équation en les saisissant ou en cliquant dessus dans le conteneur Equations.

Choisissez Equation réduite dans le menu déroulant Equations. Cette option rapproche le cadre de l’équation et insère cette dernière sur une ligne de texte au niveau du symbole d’ancrage.

Si l’équation semble être placée trop près du texte (d’un côté ou de l’autre), insérez un espace avant ou après le cadre. FrameMaker traite les cadres contenant une équation intégrée comme des caractères ; aucun espace superflu n’est inséré.
Si l’équation est trop haute pour la ligne, étendez le cadre au-dessus et au-dessous de la ligne. Utilisez le menu déroulant Interligne de la barre de formatage pour désactiver l’interligne fixe.
Cliquez dans un paragraphe vide.
Utilisez un format de paragraphe du Catalogue de paragraphes, ou définissez votre propre format. Le format du paragraphe détermine l’alignement, l’espacement vertical et la numérotation automatique du paragraphe contenant l’équation.
Cliquez sur le bouton Équations
situé à droite de la fenêtre de document.
Dans le conteneur Equations, choisissez l’une des commandes Nouvelle équation du menu déroulant Equations. Les options Petite, Moyenne et Grande spécifient les tailles de polices utilisées dans la nouvelle équation.
Un nouvel objet d’équation s’affiche sous forme de point d’interrogation dans un cadre ancré sous le paragraphe vide. Le premier élément inséré remplace le point d’interrogation.

Insérez les éléments mathématiques dans l’équation en les saisissant ou en cliquant dessus dans le conteneur Equations.

Choisissez Equation réduite dans le menu déroulant Equations. Cette option rapproche le cadre de l’équation et insère cette dernière dans le paragraphe vide.

Cliquez sur le bouton Équations
situé à droite de la fenêtre de document.
Sélectionnez un cadre graphique ou un objet dans un cadre graphique.
Dans le conteneur Equations, choisissez l’une des commandes Nouvelle équation du menu déroulant Equations. Les options Petite, Moyenne et Grande spécifient les tailles de polices utilisées dans la nouvelle équation.
Un nouvel objet d’équation s’affiche sous forme de point d’interrogation dans le cadre. Le premier élément inséré remplace le point d’interrogation.

Insérez les éléments mathématiques dans l’équation en les saisissant ou en cliquant dessus dans le conteneur Equations.
Pour placer l’équation avec précision, sélectionnez-la en maintenant la touche Ctrl enfoncée, puis en cliquant dessus.
Déplacez l’équation de l’une des manières suivantes :
Faites-la glisser avec la souris.
Déplacez-la avec les touches fléchées.
Positionnez-la précisément avec la commande .
Découvrez comment insérer des éléments mathématiques et des expressions mathématiques, découvrez la portée des opérations dans FrameMaker.
Une équation contient des expressions constituées d’éléments mathématiques (caractères, chaînes de caractères, opérateurs et autres éléments mathématiques du conteneur Equations.

A. Caractère alphanumérique B. Chaîne de texte C. Expression D. Opérateur
Une fois l’objet d’équation créé, insérez les éléments mathématiques en les saisissant ou en cliquant dessus dans le conteneur Equations. Le conteneur Equations peut être fermé lorsque vous insérez un élément à l’aide du clavier.
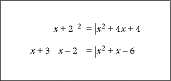
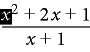
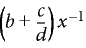
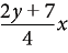
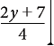
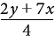
Lorsque vous insérez un élément mathématique dans une équation, FrameMaker ajuste la syntaxe mathématique. Le résultat dépend du domaine de l’opération, c’est-à-dire de la sélection ou de l’emplacement du point d’insertion. Par exemple, si vous insérez un x dans une fraction, le résultat dépendra de l’élément sélectionné : numérateur, dénominateur ou toute la fraction.
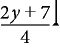
Si vous multipliez par x |
Le résultat sera |
|---|---|
|
|
|
|
|
|
Dans le premier exemple, seul 7 est multiplié par x. Dans le deuxième exemple, FrameMaker ajoute des parenthèses pour indiquer que l’ensemble de l’expression 2y + 7 est multiplié par x. Dans le dernier exemple, l’ensemble de la fraction est multiplié par x. La taille du point d’insertion dans les premier et dernier exemples indique le domaine.
La plupart des erreurs commises dans des équations proviennent du mauvais domaine de définition d’une opération. En général, trop ou pas assez d’éléments ont été sélectionnés. Veillez à effectuer la sélection appropriée avant d’insérer un élément.
Sélectionnez une expression ou placez le point d’insertion dans une équation.
Effectuez l’une des opérations suivantes :
Pour insérer un élément mathématique à l’aide du conteneur Equations, cliquez sur l’élément.
Pour insérer un caractère alphanumérique ou un symbole figurant sur le clavier, tapez-le. Vous pouvez saisir des parenthèses, des crochets, des signes plus (+), des signes égal (=), etc. Si vous entrez une parenthèse ouvrante, FrameMaker insère automatiquement la parenthèse fermante.
Pour insérer un élément nécessitant une barre oblique inverse, entrez une barre oblique inverse ( \ ) et la chaîne de caractères identifiant l’élément, puis appuyez sur la touche Entrée. Ainsi, pour insérer le symbole infini
, saisissez \infty et appuyez sur la touche Retour.
Insertion d’un élément mathématique personnalisé.
Si un élément nécessite un ou plusieurs opérandes, un point d’interrogation
s’affiche pour chacun d’eux ; sinon, un point d’insertion apparaît. Pour passer d’un opérande à un autre, utilisez la touche Tab.
Une chaîne de caractères est une série de caractères traités comme un tout. Contrairement aux caractères constituant une expression, les caractères d’une chaîne de caractères ne s’affichent pas en italique et ne sont pas multipliés.

Les chaînes de caractères n’ont aucune signification mathématique pour FrameMaker. Par exemple, les commandes de calcul prennent en compte la fonction tan mais pas la chaîne « tan ».
Dans la page Symboles du conteneur Equations, cliquez sur Début de chaîne. Deux guillemets ( " " ) s’affichent. Vous pouvez également entrer une apostrophe ( ’ ) ou des guillemets (") pour commencer la chaîne.
Entrez le texte de la chaîne. Les guillemets disparaissent et le texte s’affiche au fur et à mesure de la saisie. Pour insérer une apostrophe ou des guillemets comme élément de la chaîne, maintenez la touche Ctrl enfoncée et appuyez sur la touche souhaitée.
Cliquez sur Chaîne de fin à la page Symboles, ou appuyez sur Retour.
Un objet d’équation contient généralement une équation ou une expression. Vous pouvez établir une liste horizontale ou verticale comprenant plusieurs expressions sous la forme d’un même objet. Lors de la sélection d’une liste, toutes les expressions de celle-ci ne représentent qu’un seul et unique objet.

A. Liste horizontale B. Liste verticale alignée sur les signes d’égalité
FrameMaker ligne les expressions dans la liste automatiquement. Lorsque vous la déplacez, la position relative des expressions ne change pas.
Sélectionnez l’expression à placer en début de liste ou à ajouter à une liste.
Dans la page Opérateurs du conteneur Équations, cliquez sur l’élément de listes horizontales
ou verticales
. Pour ajouter un élément mathématique, saisissez-le ou cliquez dessus dans le conteneur Equations. Une liste horizontale ou verticale s’affiche. L’expression sélectionnée s’affiche en début de liste. Un deuxième élément apparaît dans la liste sous forme de point d’interrogation.
Avant |
Après |
|---|---|
|
|
|
|
|
|
Dans le premier exemple, une liste horizontale est insérée. Dans le deuxième exemple, une liste verticale est insérée et l’expression sélectionnée devient le premier élément de la liste. Dans le dernier exemple, une liste verticale est insérée sous forme d’expression plus importante.
La page Symboles du conteneur Equations contient l’alphabet grec, divers symboles et des signes diacritiques.
La page Symboles ne contient pas les caractères grecs ayant un équivalent dans l’alphabet romain, tels que la lettre alpha majuscule (A). Les exemples suivants affichent le résultat de la sélection de
sur la page Symboles.
Avant |
Après |
|---|---|
|
|
|
|
Les signes diacritiques s’affichent à gauche du point d’insertion ou dans l’expression sélectionnée. Cliquez une fois sur le bouton du point ou du signe diacritique à insérer.
La page Opérateurs du conteneur Equations contient des opérateurs courants, des racines, des puissances, des signes, des indices, des exposants et des symboles logiques.
Si une expression est sélectionnée lorsque vous insérez l’opérateur, elle devient le premier opérande. Les exemples suivants montrent le résultat de la sélection du signe plus
ou de l’opérateur de division
dans la page Opérateurs.
Avant |
Après |
|---|---|
|
|
|
|
|
|
Vous pouvez représenter l’opérateur de division par une barre oblique (/), une barre horizontale
ou un signe de division
.
FrameMaker peut évaluer mathématiquement les exposants mais pas les indices supérieurs.

A. Indice supérieur B. Exposant
La page Grands du conteneur Equations contient des symboles de somme, de produit, d’intégrale, d’intersection et d’union.
Si une expression est sélectionnée lorsque vous insérez un grand élément, elle devient le premier opérande. Les exemples suivants affichent le résultat de la sélection du symbole de somme
dans la page Grands.
Avant |
Après |
|---|---|
|
|
|
|
Vous pouvez ajouter un opérande après avoir inséré un élément mathématique depuis la page Grands.
La page Délimiteurs contient des délimiteurs tels que les parenthèses, les crochets et les accolades.
Si une expression est sélectionnée lorsque vous insérez une paire de délimiteurs, elle est placée entre les délimiteurs. Les exemples suivants affichent le résultat de la sélection des parenthèses sur la page Délimiteurs.
Avant |
Après |
|---|---|
|
|
|
|
Vous pouvez également remplacer les parenthèses par des crochets ([ ]) ou des accolades ({ }).
La page Relations contient des symboles de relation comme =, <, >,
,
,
,
, et le panneau
.
Tous les symboles de relation, à l’exception du signe égal binaire
, s’appliquent au caractère situé à gauche ou à droite du point d’insertion ou à la sélection. Si vous placez un symbole de relation entre des éléments multipliés, il s’applique aux éléments situés de part et d’autre du point d’insertion.
Le signe égal binaire
apparaît à droite de l’expression en cours (voir le deuxième exemple). Si le point d’insertion ou la sélection se trouve sur un indice ou sur un exposant, le signe égal s’affiche en indice ou en exposant.
Avant |
Après |
|---|---|
|
|
|
|
|
|
Appuyez sur les touches Echap, m, =
Avant |
Après |
|---|---|
|
|
La page Calcul contient des intégrales, des dérivées, des dérivées partielles, des gradients et des limites.
Si une expression est sélectionnée lorsque vous insérez un élément de calcul, elle devient le premier opérande. Les exemples suivants affichent le résultat de la sélection du symbole d’intégrale
dans la page Calcul.
Avant |
Après |
|---|---|
|
|
|
|
Vous pouvez modifier la position des opérandes et en insérer de nouveaux.
La page Matrices contient des matrices dont la taille est comprise entre 1 x 1 et 3 x 3. Une fois la matrice créée, vous pouvez y ajouter des lignes et des colonnes.
Si, lorsque vous insérez la matrice, une expression est sélectionnée, celle-ci devient la première cellule de la matrice.
Avant |
Après |
|---|---|
|
|
|
|
La page Fonctions contient des fonctions trigonométriques, hyperboliques et logarithmiques ainsi que les fonctions de signes, de limites et des fonctions générales.
FrameMaker place une fonction au point d’insertion ou l’applique à la sélection. Si une expression est sélectionnée, elle devient l’argument de la fonction, à l’exception des limites et des fonctions générales
et
. Les exemples suivants affichent le résultat de la sélection de la fonction sinus de la page Fonctions.
Avant |
Après |
|---|---|
|
|
|
|
Outre les éléments mathématiques intégrés dans FrameMaker, vous pouvez insérer des éléments mathématiques personnalisés définis pour un document.
Les éléments mathématiques personnalisés n’ont aucune signification mathématique dans FrameMaker. Ainsi, un élément mathématique personnalisé défini comme opérateur est traité comme tel dans une équation. Toutefois, FrameMaker ne peut pas l’utiliser pour résoudre l’équation.
Dans le conteneur Equations, sélectionnez Insérer élément mathématique dans le menu déroulant Equations.
Sélectionnez le nom de l’élément et cliquez sur Insérer.
Comprendre la réduction et le développement d'une équation dans FrameMaker.
La réduction d’une équation permet de réduire le cadre ancré qui l’entoure afin qu’il soit assez grand pour contenir l’équation. La position d’ancrage du cadre se définit alors sur Au point d’insertion et le point d’insertion se place après le cadre.


Réduisez une équation lorsque vous avez terminé de travailler dessus afin d’optimiser l’espace qu’elle occupe et de la placer sur la ligne de base du texte qui l’entoure. Développez une équation pour agrandir son cadre et faciliter la modification de celle-ci.
Cliquez sur l’équation ou sélectionnez son cadre.
Dans le conteneur Equations, choisissez Equation réduite ou Equation développée dans le menu déroulant Equations. Parfois, les bords d’une équation réduite n’apparaissent pas à l’écran. Ils apparaissent cependant dans le document imprimé.
Découvrez comment modifier une équation, supprimer des délimiteurs, travailler avec des formats d’éléments et des matrices dans FrameMaker.
Vous pouvez modifier une équation de la même façon que du texte : vous pouvez ajouter, modifier, réorganiser, supprimer, copier, couper et coller les éléments mathématiques. Lorsque vous modifiez une équation, FrameMaker ajuste sa syntaxe de manière appropriée.
Vous pouvez modifier une matrice en ajoutant ou supprimant des lignes et des colonnes, en supprimant des crochets et en modifiant la hauteur des lignes et la largeur des colonnes. Pour certains éléments mathématiques, tels que les parenthèses, vous avez également le choix entre différentes représentations. Vous pouvez ajouter des opérandes à d’autres éléments, tels que les intégrales et les sommes.
Si l’équation est réduite, développez-la avant de la modifier. Elle retrouve sa taille normale dans un cadre ancré vous offrant ainsi plus d’espace de travail.
Appuyez sur la barre d’espacement. La sélection s’étend pour englober l’expression suivante située au-dessus. L’exemple suivant affiche le résultat d’une pression répétée sur la barre d’espacement.
Sélection d’origine |
|
Une pression |
|
Deux pressions |
|
Procédez de l’une des façons suivantes :
Pour déplacer la sélection à la sous-expression suivante sur la droite, appuyez sur la touche fléchée vers la droite.
Pour déplacer la sélection à la sous-expression suivante sur la gauche, appuyez sur la touche fléchée vers la gauche.
Pour déplacer la sélection à droite du point d’interrogation suivant, appuyez sur la touche Tab.
Sélectionnez l’élément à supprimer et appuyez sur la touche Suppr. Une invite en forme de point d’interrogation s’affiche à la place de l’élément.
Procédez de l’une des façons suivantes :
Pour remplacer l’élément, cliquez sur le conteneur Equations ou saisissez le nouveau texte.
Pour supprimer l’élément, appuyez de nouveau sur la touche Suppr. FrameMaker supprime également tout élément devenu superflu (par exemple, un signe plus ou des parenthèses).
Appuyez sur Ctrl et cliquez sur l’équation pour la sélectionner, puis appuyez sur la touche Suppr.
Une fois l’équation créée ou modifiée, il est possible qu’elle contienne des délimiteurs (crochets, parenthèses ou accolades) superflus. Vous pouvez supprimer ces délimiteurs. En cas d’utilisation des commandes de calcul par la suite, FrameMaker considère que les délimiteurs existent toujours lorsqu’il résout l’équation.
Pour supprimer tous les délimiteurs, sélectionnez l’expression. Dans la page Délimiteurs du conteneur Equations, cliquez sur Supprimer les parenthèses.
Avant |
Après |
|---|---|
|
|
Pour supprimer un délimiteur, placez le point d’insertion à droite du délimiteur et appuyez sur la touche Suppr. Si le délimiteur comporte un point de connexion, tel qu’une parenthèse gauche située entre a et b dans l’exemple ci-dessous, ce point de connexion est également supprimé.
Avant |
Après |
|---|---|
|
|
Certains éléments mathématiques peuvent être représentés sous différentes formes. Par exemple, des délimiteurs peuvent apparaître sous la forme
,
ou
. La division peut être représentée par
,
ou
.
Sélectionnez l’élément entier.
Dans la page Opérateurs, Grands, Délimiteurs ou Calcul du conteneur Equations, ciquez sur Basculer format. La commande est identique sur chacune de ces pages et s’applique à tous les éléments comportant plusieurs formats. Dans certains cas, cliquez plusieurs fois pour obtenir le format voulu.
Les racines, gradients et logarithmes peuvent avoir un ou deux opérandes. Les intégrales et certains symboles des pages Grands et Calcul peuvent comporter un, deux ou trois opérandes.

Vous pouvez ajouter des opérandes à ces éléments sans réécrire toute l’équation.
Cliquez sur un emplacement ou sélectionnez-en un dans l’expression contenant l’élément.
Cliquez sur Ajouter opérande sur la page Grands ou Calcul. Un point d’interrogation s’affiche au point auquel vous spécifiez l’opérande.
Vous pouvez modifier le nombre de lignes et de colonnes d’une matrice et ajouter ou supprimer les crochets l’encadrant. Vous pouvez autoriser les colonnes à présenter des largeurs différentes selon leur contenu ou spécifier que toutes les colonnes doivent être de la même largeur. Il est également possible de créer des colonnes de même largeur ou modifier la hauteur des lignes.
Vous pouvez également transposer et calculer une matrice.
Pour ajouter une ligne ou une colonne à une matrice, placez le point d’insertion dans la matrice. Dans la page Matrices du conteneur Equations, sélectionnez Ajouter ligne ou Ajouter colonne dans le menu déroulant Commandes matricielles.
Avant |
Après |
|---|---|
|
|
Lorsqu’une ligne est ajoutée, elle est placée en bas.
Lorsqu’une colonne est ajoutée, elle est insérée à droite.
Pour supprimer une ligne ou une colonne d’une matrice, sélectionnez la ligne ou la colonne et appuyez sur Supprimer.
Pour ajouter ou supprimer les crochets entourant une matrice, sélectionnez toute la matrice. Dans la page Matrices du conteneur Equations, cliquez sur Ajouter/Enlever crochets.
Pour modifier la hauteur des lignes ou la largeur des colonnes d’une matrice, sélectionnez la matrice. Dans la page Matrices du conteneur Equations, sélectionnez Toutes égales ou Proportionnelle dans le menu déroulant Hauteur de ligne des matrices ou Largeur de colonne des matrices.

Si vous sélectionnez Proportionnel, chaque ligne est assez grande pour contenir la plus grande cellule de la ligne. chaque colonne est assez large pour accueillir la cellule la plus large de la colonne.
Si vous sélectionnez Toutes égales, chaque ligne est assez grande pour contenir la plus grande cellule de toute la matrice. Chaque colonne est assez large pour accueillir la cellule la plus large de la matrice.
Connaître les types d’éléments mathématiques, changer les éléments mathématiques intégrés, définir les éléments mathématiques personnalisés dans FrameMaker.
Si vous avez besoin d’un élément mathématique ne figurant pas sur le conteneur Équations, vous pouvez créer un élément personnalisé (par exemple, un nouvel opérateur tel que ![]()
. Toutefois, FrameMaker ne peut pas évaluer mathématiquement ce type d’élément.
Vous pouvez redéfinir un élément mathématique intégré sur le conteneur afin de l’afficher différemment dans le document. Par exemple, vous pouvez redéfinir la fonction inverse de la fonction sinus (asin) afin qu’elle s’affiche sous la forme sin-1. Vous pouvez redéfinir l’apparence d’un élément intégré, mais vous ne pouvez pas en changer le type.
Vous pouvez également importer des définitions d’élément mathématique d’un autre document.
Les définitions des éléments mathématiques personnalisés sont enregistrées sur une ou plusieurs pages de référence dont le nom commence par FrameMath. Chaque définition correspond à une ligne de texte placée dans un cadre graphique non ancré et dont le nom représente celui de l’élément.

A. Cadre graphique B. Ligne de texte
Le type d’un élément mathématique définit son effet sur les éléments qui l’entourent. Par exemple, le signe plus (+) est du type infixe, ce qui signifie qu’il possède deux opérandes, l’un à gauche et l’autre à droite.
Vous pouvez définir les éléments mathématiques personnalisés de types suivants.
Type |
Exemple |
Nombre d’opérandes |
|---|---|---|
Atome |
|
Aucune |
Délimiteur |
|
Un |
Fonction |
|
Un, à droite de l’élément |
Infixe |
|
Deux, à gauche et à droite de l’élément |
Grands |
|
Jusqu’à trois : un au-dessus, un au-dessous et un à droite de l’élément |
Limite |
|
Jusqu’à deux : un au-dessous et un à droite de l’élément |
Préfixe |
|
Un, à gauche de l’élément |
Suffixe |
|
Un, à droite de l’élément |
Liste verticale |
|
Deux : un opérande au-dessus de l’autre. La ligne de texte qui définit une liste verticale personnalisée est utilisée comme séparateur entre les éléments de la liste. |
Vous ne pouvez pas définir d’éléments mathématiques personnalisés de types suivants.
Type |
Exemple |
|---|---|
Dérivée |
|
Signe diacritique |
|
Liste horizontale |
|
Matrice |
|
Racine |
|
Script |
|
Substitution |
|
Barre de division verticale |
|
Sélectionnez et affichez une page de référence FrameMath.
Si le document ne contient pas de page de référence FrameMath, affichez une page de référence, puis sélectionnez . Nommez cette nouvelle page FrameMath1. Mettez les lettres F et M en majuscules, comme indiqué.
Utilisez l’outil Cadre graphique pour dessiner un cadre graphique non ancré sur la page.
Dans la boîte de dialogue Nom du cadre, entrez le nom de l’élément mathématique. Si vous redéfinissez un élément intégré, saisissez son nom.
Utilisez l’outil Ligne de texte pour ajouter une ligne de texte au cadre.
Créez l’élément mathématique dans la ligne de texte en respectant les points suivants :
Vous pouvez entrer tout caractère sur la ligne de texte et modifier le format de caractère. Vous pouvez aussi déplacer un caractère à l’aide des raccourcis de micropositionnement.
Pour tous les éléments mathématiques, excepté les délimiteurs, la ligne de texte ne représente que le symbole mathématique et non les opérandes. Lorsque vous insérez ultérieurement l’élément dans une équation, FrameMaker insère les opérandes à leur emplacement approprié en fonction du type d’élément mathématique. Par exemple, un grand symbole tel qu’un signe de somme ou d’intégrale peut avoir jusqu’à trois opérandes (un opérateur au-dessus, un en dessous et un troisième à droite du symbole).
Un délimiteur personnalisé ne peut contenir qu’un seul opérande, même si certains délimiteurs intégrés en possèdent deux ou trois. Pour indiquer l’emplacement de l’opérande, insérez un espace dans la ligne de texte. Si vous ne le faites pas, FrameMaker place l’opérande entre deux occurrences du délimiteur.

FrameMaker utilise la première ligne de texte du cadre pour l’élément mathématique personnalisé. Veillez à ce que le cadre ne contienne qu’une seule ligne de texte.
Sélectionnez le cadre graphique.
Dans le conteneur Equations, sélectionnez Ajouter au catalogue de définitions dans le menu Equations.
Si vous définissez un élément mathématique personnalisé, choisissez un type d’élément dans le menu déroulant et cliquez sur Ajouter.
Placez le point d’insertion dans une équation.
Dans le conteneur Equations, sélectionnez Insérer élément mathématique dans le menu déroulant Equations.
Désactivez l’option Afficher personnalisé seulement puis faites défiler la liste des éléments jusqu’à ce que vous identifiiez celui que vous recherchez.
Cliquez sur Annuler.
Affichez la page de référence FrameMath qui contient l’élément mathématique en procédant de l’une des façons suivantes :
Si l’élément mathématique personnalisé se trouve dans une équation, sélectionnez-le et choisissez l’option Mise à jour d’une définition dans le menu déroulant Equations du conteneur Equations. Cliquez ensuite sur Revenir au cadre.
Si vous n’avez pas inséré l’élément mathématique personnalisé dans une équation, sélectionnez . Affichez ensuite la page de référence FrameMath de votre choix.
Procédez de l’une des façons suivantes :
Modifiez la ligne de texte définissant l’élément mathématique. Lorsque vous affichez de nouveau la page courante, FrameMaker utilise la définition modifiée et réduit à nouveau les équations.
Supprimez le cadre graphique. Si l’élément se trouve dans une équation, FrameMaker affiche son nom encadré de points d’interrogation au lieu d’afficher l’élément.
FrameMaker place les éléments mathématiques d’une équation en fonction de leur signification mathématique. Dans certains cas, il peut s’avérer nécessaire d’ajuster la position en recourant au micropositionnement des éléments, afin de les rapprocher ou de les éloigner les uns des autres.

Vous pouvez également contrôler la quantité d’espace de part et d’autre d’un élément.

A. Espacement par défaut B. Espace ajouté à gauche et à droite C. Espace supprimé à gauche et à droite
Dans la page Position du conteneur Equations, procédez de l’une des façons suivantes :
Pour positionner une expression sélectionnée, cliquez sur une flèche de micropositionnement. Cliquez autant de fois que nécessaire. Chaque clic déplace une expression d’un pixel à l’écran. Utilisez le zoom pour plus de précision.

Pour supprimer un micropositionnement, cliquez sur le bouton situé au centre de la zone Micropositionnement
.
Pour vérifier les décalages de position et les ajuster numériquement, cliquez sur Paramètres de positionnement. Le décalage exact s’affiche dans la zone Décalage micropositionnement de la boîte de dialogue Param. de positionnement d’élément math. Pour ajuster la position, entrez des valeurs dans la zone Décalage micropositionnement et cliquez sur Définir.
Pour ajuster les espaces, cliquez sur un signe plus (+) afin d’ajouter un espace ou sur un signe moins (-) afin de supprimer un espace. Cliquez autant de fois que nécessaire. Chaque clic ajoute ou supprime un pixel d’espace. Utilisez le zoom pour plus de précision.
Pour ajuster des valeurs d'espacement, cliquez sur Paramètres de positionnement. L’espace exact s’affiche dans la zone Espacement de la boîte de dialogue Param. de positionnement d’élément math. Pour ajuster les valeurs d'espacement, entrez des valeurs dans la zone Espacement et cliquez sur Définir. Pour rétablir les valeurs d’espacement par défaut, cliquez sur le bouton situé au centre de la zone Espacement
.
Vous pouvez modifier certaines définitions d’éléments mathématiques (de type infixe, préfixe, suffixe, grand, script et barre de division) pour définir un nouvel espacement. Lorsque vous procédez de la sorte, FrameMaker ajuste l’espacement autour de l’élément chaque fois qu’il apparaît dans le document et développe à nouveau les équations.
Vous pouvez aussi modifier l’approche (espace séparant les caractères) de manière uniforme dans les équations de grande, moyenne et petite tailles.
Après avoir ajusté l’espacement autour de l’élément dans une équation, sélectionnez-le.
Dans le conteneur Equations, sélectionnez Mise à jour d’une définition dans le menu déroulant Equations.
Procédez de l’une des façons suivantes :
Pour mettre à jour l'espacement pour l'élément dans tout le document, clique sur Mettre à jour.
Pour rétablir l'espacement par défaut, cliquez sur Rétablir défaut.
Découvrez comment définir les sauts de ligne et aligner les équations le long d’un point dans un cadre ou dans une liste dans FrameMaker.
Vous pouvez contrôler la répartition d’une équation sur plusieurs lignes et l’alignement des lignes dans une équation multiligne ou des éléments d’une liste ou d’une matrice. Vous pouvez également aligner plusieurs équations avec une autre, même si elles se trouvent dans des cadres ancrés différents.

La manipulation des objets d’équation est identique à celle des autres objets. Vous pouvez aligner automatiquement et manuellement les éléments d’une liste verticale ou les lignes d’une équation multiligne. Les points d’alignement manuel remplacent l’alignement automatique.

Les éléments d’une liste horizontale peuvent être alignés sur la ligne supérieure, la ligne inférieure ou la ligne de base.

Vous pouvez également aligner les cellules de chaque ligne d’une matrice sur la ligne supérieure, la ligne inférieure ou leur ligne de base. Les cellules d’une colonne peuvent être alignées sur la gauche, la droite, au centre ou le long du signe égal.

A. Lignes de base B. Centres
Même si une équation occupe plusieurs lignes, elle tient dans un seul cadre ancré. Vous pouvez définir automatiquement une équation sur plusieurs lignes. Si vous modifiez la largeur du saut de ligne, l’équation est reformatée en fonction de cette nouvelle valeur.


Vous pouvez aussi forcer un saut de ligne à un endroit spécifique de l’équation. Toutefois, n’utilisez pas de sauts de ligne manuels pour créer des équations séparées. Insérez plutôt une liste verticale d’expressions.
Vous pouvez modifier les sauts de ligne de diverses façons :
Pour modifier la largeur du saut de ligne automatique, cliquez sur l’équation ou sélectionnez une partie de celle-ci. Sélectionnez . Modifiez la valeur du champ Rupture de ligne auto. après, puis cliquez sur Définir. La valeur prédéfinie correspond à la largeur du cadre de l’équation.

Pour supprimer un saut de ligne manuel, sélectionnez la partie de l’équation contenant le symbole de saut de ligne. Dans la page Position du conteneur Equations, sélectionnez Annuler coup. manuelle dans le menu déroulant Rupture de ligne.
L’alignement (gauche, centre ou droit) d’une équation affichée est défini par le format du paragraphe contenant l’équation.

Cliquez sur le paragraphe contenant l’équation (pas dans l’équation elle-même).
Choisissez une option du menu déroulant Alignement dans la barre de formatage ou dans la fenêtre Configuration de paragraphes.
Cliquez dans l’équation ou la liste.
Dans la page Position du conteneur Equations, choisissez une option du menu déroulant Gauche/Droite. Si vous choisissez A gauche de = ou A droite de =, les lignes sont alignées d’un côté ou de l’autre du signe égal. Une ligne sans signe égal est alignée à gauche.
Procédez de l’une des façons suivantes :
Cliquez sur la première ligne d’une équation multiligne à l’endroit où vous souhaitez aligner les lignes suivantes.
Cliquez sur un élément d’une liste verticale à l’endroit où vous souhaitez aligner l’élément sur le reste de la liste.
Dans la page Position du conteneur Equations, choisissez Manuel dans le menu déroulant Gauche/Droite. Un symbole d’alignement manuel
apparaît au niveau du point d’insertion lorsque l’affichage des symboles de texte est activé. Les lignes suivantes d’une équation multiligne s’alignent à gauche du point d’alignement manuel. Les éléments d’une liste verticale s’alignent sur les autres éléments de la liste au point d’alignement manuel.
Sélectionnez la partie de l’équation contenant le point d’alignement manuel.
Dans la page Position du conteneur Equations, choisissez Annuler dans le menu déroulant Gauche/Droite. Vous pouvez également supprimer un point d’alignement manuel en en définissant un autre.
Cliquez dans la liste.
Dans la page Position du conteneur Equations, cliquez sur un élément du menu déroulant Haut/Bas.
Cliquez dans la matrice.
Dans la page Position du conteneur Equations, choisissez une option du menu déroulant Haut/Bas ou Gauche/Droite. Les commandes Gauche/Droite et Haut/Bas affectent toute la matrice. Pour aligner les cellules individuellement, utilisez le micropositionnement.
Pour sélectionner la liste ou la matrice dans sa totalité, procédez de l’une des façons suivantes :
Faites glisser le pointeur sur la liste ou la matrice.
Placez le point d’insertion dans la matrice et appuyez plusieurs fois sur la barre d’espacement.
Dans la page Position du conteneur Equations, cliquez sur Paramètres de positionnement.
Vous pouvez aligner plusieurs objets d’équation les uns sur les autres dans un cadre tout comme vous le feriez avec d’autres objets. Vous pouvez également aligner des objets d’équation sur un point d’alignement manuel, même s’ils se trouvent dans des cadres graphiques distincts.

FrameMaker conserve l’alignement des objets d’équation lorsque vous modifiez les équations. Ainsi, lorsque deux équations sont alignées à gauche, cet alignement est conservé si vous réduisez ou développez les équations.
Pour sélectionner les équations à aligner, maintenez la touche Ctrl enfoncée et cliquez sur la première équation, puis maintenez les touches Ctrl+Maj enfoncées et cliquez sur les autres équations.
Veillez à ce que la dernière équation sélectionnée soit bien celle qui régisse l’alignement.
Sélectionnez .

Sélectionnez l’alignement souhaité et cliquez sur OK.
Définissez le point d’alignement manuel dans l’une des équations à aligner.
Si vous ne définissez pas de point d’alignement manuel, FrameMaker aligne les équations à gauche par défaut.
Cliquez dans l’équation et choisissez .
Choisissez Manuel dans le menu déroulant Alignement et spécifiez l’emplacement du point d’alignement dans le cadre en entrant des valeurs dans la zone Décalage du point d’align. à partir de. Le décalage gauche correspond à la distance comprise entre le bord gauche du cadre et le point d’alignement manuel.
Il est inutile de définir précisément le décalage du haut. Vous pourrez déplacer l’équation vers le haut ou le bas ultérieurement, comme vous le feriez avec n’importe quel autre objet.
Cliquez sur Définir-
Répétez les étapes 1 à 4 pour chaque équation à aligner. Définissez la même distance à gauche de chaque équation mais modifiez le décalage du haut pour la placer verticalement dans le cadre. Si les équations se trouvent dans différents cadres ancrés, assurez-vous que les bords gauches s’alignent correctement.
Découvrez comment modifier les paramètres de police et de format pour les équations dans FrameMaker.
Les paramètres typographiques s’appliquent à toutes les équations d’un document. Ils définissent la taille des caractères et l’espacement des équations de petite, moyenne ou grande taille. Ils définissent également le format des symboles grecs, des fonctions, des nombres, des chaînes et des variables.
Vous pouvez modifier la taille prédéfinie de toute une équation. Vous pouvez également modifier le format de caractère d’un élément mathématique individuel (par exemple, pour utiliser une couleur ou une police spéciale).
Vous pouvez aussi modifier les tailles de police et les formats de caractères et appliquer les nouvelles valeurs à toutes les équations d’un document.
Vous ne pouvez pas modifier l’approche, l’étirement, les exposants, les indices, le souligné, le surligné, le barré, les barres de modification ou le crénage par paire d’un élément. De plus, vous ne pouvez pas modifier la famille de polices des caractères et symboles grecs individuels et de certains opérateurs.
Pour modifier la taille prédéfinie ou la couleur d’une équation, cliquez sur l’équation, sléectionnez , puis effectuez l’une des opérations suivantes :
Pour modifier la taille de l’équation, choisissez une option du menu déroulant Taille, puis cliquez sur Définir. Si l’équation est réduite, FrameMaker la développe.
Pour modifier la couleur de l’équation, choisissez une couleur dans le menu déroulant Couleur, puis cliquez sur Définir.
Pour modifier le format de caractère, sélectionnez l’élément ou l’expression, puis effectuez les modifications comme vous le feriez pour du texte.
Pour mettre un élément en indice ou en exposant, insérez l’opérateur adéquat.
Pour modifier l’approche des caractères, micropositionnez-les à l’aide de la page Position du conteneur Equations.
Pour placer une ligne au-dessus ou en dessous d’une expression, utilisez les signes diacritiques de la page Symboles du conteneur Equations.
Vous pouvez modifier la taille de police et l’espacement de toutes les petites, moyennes ou grandes équations d’un document. Lorsque vous faites une modification globale de police, FrameMaker reformate et développe les équations réduites du document.
Les caractères et les symboles grecs des équations s’affichent normalement dans la police Symbol. Vous pouvez utiliser des polices telles que Mathematical Pi et Universal Greek si elles sont installées sur le système.
Les fonctions, les nombres et les chaînes apparaissent normalement dans la police Times New Roman ou Times. Les variables s’affichent normalement en italique. Vous pouvez modifier le format de caractère de chacun de ces types d’éléments. Par exemple, vous pouvez afficher tous les éléments en Helvetica, avec les fonctions en italique et les variables en gras.
Choisissez Tailles d’équations dans le menu déroulant Equations du conteneur Equations pour effectuer les modifications suivantes :
Pour modifier la police des équations du document, procédez de l’une des façons suivantes :
Spécifiez les tailles de police et l’approche, puis cliquez sur Définir. L’approche correspond à un pourcentage de la taille de police. Une valeur positive augmente l’espace autour des éléments alors qu’une valeur négative le réduit.
Cliquez sur Rétablir défaut.
Pour modifier la police des symboles et des caractères grecs, choisissez l’une des polices disponibles dans le menu déroulant Symboles math., puis cliquez sur Définir.
Pour modifier le format de caractère des fonctions, des nombres, des chaînes ou des variables, créez d’abord le format de caractère souhaité. Choisissez ensuite le format de caractère dans le menu déroulant Fonctions, Nombres, Chaînes, ou Variables, puis cliquez sur Définir. FrameMaker affiche le format créé dans les menus déroulants.
Découvrez comment évaluer les équations, la transformation d'équation, la matrice d’équation, l’addition, la multiplication, la division, le menu contextuel des règles et les remplacements dans FrameMaker.
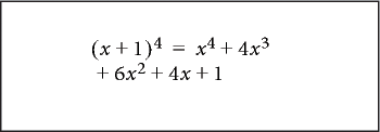
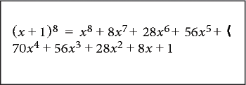
Une fois une expression ou une équation créée, vous pouvez la transformer en modifiant sa représentation mathématique. Par exemple, multipliez des polynômes et mettez des termes en facteur, simplifiez des expressions ou combinez des fractions.
Sélection d’origine |
|
Développement |
|
Multiplication |
|
Nouvelle multiplication |
|
Vous pouvez également résoudre les équations en remplaçant les valeurs et en effectuant des calculs.
Sélection d’origine |
|
Développement |
|
Valeur substituée |
|
Résultat |
|
Sélectionnez l’expression ou une partie de l’expression.
Choisissez une commande dans la page Matrices ou Fonctions du conteneur Equations. Par exemple, sélectionnez une expression, puis choisissez Développer dans le menu déroulant Multiplication de la page Fonctions.
Pour transformer ou évaluer une expression, utilisez les commandes du menu déroulant Commandes matricielles de la page Matrices ainsi que les commandes des six menus déroulants de la page Fonctions.
Transpose les lignes et colonnes d’une matrice sélectionnée.
Matrice sélectionnée |
Après |
|---|---|
|
|
Multiplie et additionne des matrices et calcule les produits scalaire et vectoriel d’une matrice sélectionnée.
Avant |
Après |
|---|---|
|
|
|
|
|
|
|
|
|
|
Après avoir calculé une matrice, vous pouvez combiner les termes similaires à l’aide de la commande Simplifier.
Additionne des fractions et exprime le résultat sous une seule fraction. Cette commande combine également les termes similaires.
Fraction sélectionnée |
Après |
|---|---|
|
|
|
|
|
|
Si l’expression sélectionnée contient plus de deux fractions, la commande Ajouter fractions n’additionne que les deux premières. Utilisez de nouveau cette commande pour combiner le résultat à la troisième fraction et ainsi de suite.
Expression sélectionnée |
|
Premier ajout |
|
Deuxième ajout |
|
Ordonne les polynômes d’une variable choisie par puissance décroissante.
Avant |
Après |
|---|---|
|
|
Ordonne les polynômes d’une variable choisie par puissance croissante. Dans l’exemple suivant, vous sélectionnez un x quelconque avant de lancer la commande.
Avant |
Après |
|---|---|
|
|
Utilisez ce menu de la page Fonctions pour mettre des termes en facteur, développer des expressions et répartir les éléments d’une multiplication ou d’une division en somme de produits ou de fractions.
Met en facteur le terme sélectionné d’un produit.
Avant |
Après |
|---|---|
|
|
|
|
Met en facteur le terme sélectionné contenu dans d’autres termes.
Avant |
Après |
|---|---|
|
|
Simplifie l’expression sélectionnée, répartit les éléments d’une multiplication en somme de produits et développe un terme sélectionné élevé à une puissance positive.
Expression sélectionnée |
Après |
|---|---|
|
|
|
|
La commande Simplifier simplifie également l’expression sélectionnée.
Multiplie les deux premiers facteurs à gauche de l’expression sélectionnée.
Expression sélectionnée |
Après |
|---|---|
|
|
Si vous utilisez cette commande plusieurs fois, le résultat s’affiche sous une forme différente.
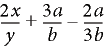
Exécute diverses opérations en fonction de l’expression sélectionnée, comme illustré dans les exemples suivants :
Répartition d’une division en addition
Expression sélectionnée |
Après |
|---|---|
|
|
Utilisez la commande Ajouter fractions pour exécuter l’opération inverse.
Répartition d’une multiplication en addition
Expression sélectionnée |
Après |
|---|---|
|
|
Utilisez la commande Mise en facteur pour exécuter l’opération inverse.
Répartition de produits et de quotients avec racines et exposants en une expression élevée à une puissance
Expression sélectionnée |
Après |
|---|---|
|
|
|
|
|
|
Utilisez la commande Simplifier pour exécuter l’opération inverse.
Exécute la même opération de chaque côté du signe égal.
Expression sélectionnée |
Après |
|---|---|
|
|
|
|
|
|
Divise une fraction contenant un polynôme en numérateur et en dénominateur.
Dans l’exemple suivant, vous sélectionnez un x quelconque avant de lancer la commande. Dans le résultat, vous sélectionnez de nouveau un x, puis relancez la commande pour obtenir le second résultat.
Avant |
|
Première division |
|
Deuxième division |
|
Convertit une division en multiplication dans une expression sélectionnée en transformant les exposants positifs dans un dénominateur en exposants négatifs et inversement.
Expression sélectionnée |
Après |
|---|---|
|
|
|
|
Pour convertir des exposants négatifs en dénominateurs, utilisez la commande Enlever puissances négatives.
Convertit une division en multiplication tout comme la commande Enlever division, mais l’opération ne porte que sur les dénominateurs de premier niveau.
Expression sélectionnée |
Après |
|---|---|
|
|
|
|
Pour convertir les exposants négatifs de premier niveau en dénominateurs, utilisez la commande Enlever puissances négatives de premier niveau.
Convertit les exposants négatifs d’une expression sélectionnée en exposants positifs en remplaçant le facteur par un dénominateur et inversement.
Expression sélectionnée |
Après |
|---|---|
|
|
|
|
Convertit des exposants négatifs en exposants positifs tout comme la commande Enlever puissances négatives, mais l’opération ne porte que sur le premier niveau. Si l’expression sélectionnée ne comporte pas d’exposant négatif de premier niveau, la commande n’a aucun effet.
Expression sélectionnée |
Après |
|---|---|
|
|
|
|
Transforme les nombres entiers d’une expression sélectionnée en nombres à virgule flottante, puis calcule l’expression.
Expression sélectionnée |
Après |
|---|---|
|
|
|
|
|
|
|
|
Utilisez la commande Afficher tous les chiffres pour placer 15 chiffres après la virgule.
La commande Calculer en virgule flottante affiche l’expression NaN (Not a Number) lorsque le résultat correspond à une valeur non définie. Elle affiche Infini lorsque le résultat est une valeur tendant vers l’infini. Les valeurs proches de zéro peuvent s’exprimer par un zéro.
Expression sélectionnée |
Après |
|---|---|
|
|
|
|
Affiche toutes les décimales d’un nombre à virgule flottante.
Avant |
Après |
|---|---|
|
|
Calcule l’expression sélectionnée. Les opérations effectuées dépendent du type d’expression sélectionnée, comme illustré dans les exemples suivants :
Transformation d’une expression élevée à une puissance inférieure à 20 en produit
Expression sélectionnée |
Après |
|---|---|
|
|
Calcul de la factorielle d’un nombre entier (un résultat trop grand s’exprime par la valeur infinie)
Expression sélectionnée |
Après |
|---|---|
|
|
Calcul du déterminant d’une matrice 1 x 1 ou 2 x 2
Expression sélectionnée |
Après |
|---|---|
|
|
Extraction d’un terme d’une somme ou d’un produit
Expression sélectionnée |
Après |
|---|---|
|
|
Calcul d’une substitution identique à celui de la commande Calculer après substitution
Réécriture d’une fonction entre ses deux bornes sous la forme d’une différence
Expression sélectionnée |
Après |
|---|---|
|
|
Conversion du logarithme d’un produit en somme de logarithmes et du logarithme d’une puissance en produit
Expression sélectionnée |
Après |
|---|---|
|
|
|
|
Conversion d’un logarithme en base de logarithmes naturels
Expression sélectionnée |
Après |
|---|---|
|
|
Réécriture d’une fonction de choix en factorielles
Expression sélectionnée |
Après |
|---|---|
|
|
Effectue une substitution puis simplifie l’expression. Si vous sélectionnez un opérateur Evaluer entre, la commande transforme l’expression en différence.
Expression sélectionnée |
Après |
|---|---|
|
|
|
|
Transforme une intégrale sélectionnée en polynôme à intégrer. Cette commande convertit une intégrale définie en intégrale indéfinie, calculée entre les limites inférieure et supérieure. Utilisez la commande plusieurs fois pour intégrer complètement un polynôme.
Expression sélectionnée |
|
Après premier calcul |
|
Après deuxième calcul |
|
Calcule une dérivée sélectionnée en appliquant la règle conjointe aux expressions complexes, le cas échéant. Pour calculer une dérivée partielle, toutes les variables dépendantes doivent être explicitement écrites.
Cette commande traite les éléments d’une dérivée totale comme s’ils dépendaient de la variable de différenciation. Pour calculer la nième dérivée, utilisez la commande Calculer pour la développer, puis, seulement, Calculer les dérivées.
Avant |
Après |
|---|---|
|
|
|
|
Calcule uniquement le premier niveau d’une dérivée sélectionnée.
Avant |
Après |
|---|---|
|
|
Ce menu déroulant de la page Fonctions stocke et applique les règles de transformation d’expressions.
Par exemple, utilisez la commande Entrer règle pour stocker la règle a = a + 3. Exécutez ensuite la commande Appliquer règle pour substituer a + 3 à a dans une autre expression.
Stocke une règle permettant de remplacer une expression par une autre. Sélectionnez l'expression à stocker comme règle avant de sélectionner Entrer règle. Vous ne pouvez stocker qu’une seule règle à la fois.
Définit le terme correspondant à la pseudo-variable. Utilisez une telle variable dans une règle pour remplacer une variable par l’expression située à droite de la règle et pas seulement la variable définie explicitement à gauche. Une pseudo-variable s’affiche en gras. Par exemple, si vous désignez x dans la règle x = a 2- comme étant une pseudo-variable, vous pouvez remplacer n’importe quelle variable de l’expression par a 2- ou par x.
Sélectionnez le terme à définir comme pseudo-variable, puis choisissez la commande Désigner pseudo-variable. Utilisez ensuite la commande Appliquer règle pour remplacer l’expression sélectionnée par l’expression affectée à la pseudo-variable.
Remplace un terme ou un ensemble de termes par un autre dans une expression sélectionnée en utilisant la règle stockée à l’aide de la commande Entrer règle.
Règle entrée |
|
Expression sélectionnée |
|
Après |
|
Pour appliquer une règle contenant une pseudo-variable, sélectionnez le terme à remplacer par la variable. Dans l’exemple suivant, x est la pseudo-variable de la règle.
Règle entrée |
|
Avant |
|
Après |
|
Simplifie l’expression sélectionnée. Pour calculer des fractions entraînant un résultat infini ou une division par zéro, utilisez la commande Calculer en virgule flottante au lieu de la commande Simplifier.
Les opérations effectuées dépendent du type d’expression sélectionnée, comme illustré dans les exemples suivants :
Opérations arithmétiques sur des nombres entiers
Expression sélectionnée |
Après |
|---|---|
|
|
|
|
|
|
Si le résultat est trop grand, il s’exprime par la valeur infinie.
Groupement des termes d’une somme ou d’un produit
Expression sélectionnée |
Après |
|---|---|
|
|
|
|
|
|
Réduction des facteurs communs d’une fraction
Expression sélectionnée |
Après |
|---|---|
|
|
|
|
Pour supprimer les puissances négatives du résultat, utilisez la commande Enlever puissances négatives.
Interprétation du nombre complexe i représenté par le caractère grec iota (
).
Expression sélectionnée |
Après |
|---|---|
|
|
Élévation des facteurs d’un produit ou des termes d’une fraction à une puissance
Expression sélectionnée |
Après |
|---|---|
|
|
|
|
La simplification de
x produit
plutôt que
.
Simplifie l’expression sélectionnée comme la commande Simplifier mais ne multiplie pas les fractions.
Expression sélectionnée |
Après |
|---|---|
|
|
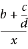
Isole une expression sélectionnée d’un côté du signe égal. La commande ne combine pas les termes et ne résout pas l’expression.
Expression sélectionnée |
Après |
|---|---|
|
|
|
|
|
|
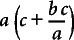
Développe le premier terme d’une somme ou d’un produit.
Expression sélectionnée |
Après |
|---|---|
|
|
|
|
Développe tous les termes d’une somme ou d’un produit.
Expression sélectionnée |
Après |
|---|---|
|
|
|
|