FrameMaker での数式の配置と表示、構造化文書のインライン数式、グラフィック枠内の数式について説明します。
数式は、段落テキスト内に配置したり、独立した段落に表示することができます。 どちらの場合も、FrameMaker により、数式のアンカー枠が作成されます。 既存のグラフィック枠内に他のオブジェクトと一緒に数式を配置することができます。例えば、グラフィックに注釈を付けることができます。 数式を含むグラフィック枠は、アンカー枠にすることも、アンカー枠にしないこともできます。

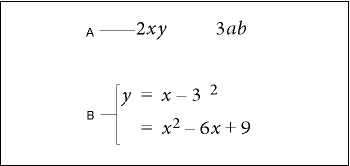
A. インライン配置 B. 表示 C. 他のオブジェクトとともにグラフィック表示
数式エレメントを使用すると、枠に数式オブジェクトが表示されます。このオブジェクトには、数式を入力できます。 グラフィックのアンカー枠と同様に、数式の枠は、テキストの特定の位置にアンカー記号が表示されます。
数式エレメントは、段落テキスト内に挿入したり、独立した段落に表示したりすることができます。

A. インクライン数式 B. 数式の表示
ページ上の数式の位置にかかわらず、数式エレメントは、文書構造内のテキストのアンカー記号が付いた位置に表示されます。構造図 では、数式エレメントは <数式> というスニペットを使用した四角形のブロックで表示されます。数式自体は構造の一部ではありません。

SGML または XML に書き出す場合は、FrameMaker により、数式が別のグラフィックファイルに書き込まれます(CGM 形式)。 そして、SGML または XML ファイルから数式を参照するエンティティが追加されます。
読み取り / 書き込み規則を使用して、数式の書式を変更できます。 MIF に対してファイル書式を変更した場合、FrameMaker は数式とそれぞれのファイル名を記憶します。 数式を複数回保存しても、数式は 1 つのファイルのみに保存されます(FrameMaker 9 では複数のファイルが作成されました)。
新しい動作 |
古い動作 |
|---|---|
数式 1 は eq1.mif というファイルに保存されます。 FrameMaker コンテンツを編集しファイルを保存すると、数式 1 は同じ eq1.mifに保存されます。 FrameMaker は、同じ数式を保存するときに毎回新しいファイルを作成することはありません。 |
数式 1 は eq1.mif というファイルに保存されます。 FrameMaker コンテンツを編集しファイルを保存すると、この数式 1 に対して eq2.mif という新しいファイルが作成されます。 FrameMaker は、同じ数式を保存するときに毎回新しいファイルを作成します。 |
グラフィック用に既に挿入されたアンカー枠に、数式を配置することもできます。 これは、数式をグラフィックオブジェクトと結合する場合に実行します。 アンカー枠がエレメントである場合は、このエレメントは文書構造の一部になります。 ただし、数式を含め、枠の内容は構造内には表示されません。
グラフィックが含まれているアンカー枠内の数式を SGML や XML に書き出すと、望ましくない結果が生じる可能性があります。 通常、SGML や XML に書き出す場合、枠の中にはオブジェクトを 1 つだけ入れます。
FrameMaker の数式ポッドと各種設定について説明します。
数式ポッドには、数式を作成し、変更するコマンドが含まれています。 また、数式に挿入する記号、演算子、関数などの数式エレメントなども含まれています。 ポッドを表示するには、メインメニューの をクリックします。

A. すべてのページに数式ポップアップメニューが表示されます。B.ポッドのこの部分はページごとに異なります。C.現在のページ名が、現在のページがハイライトされた状態で表示されます。
数式ポッドには、9 ページにわたる数式エレメントとコマンドが含まれています。 ページを表示するには、ポッドの上部にあるページ名をクリックします。
ギリシャ文字、原子記号、分音符号、文字列
ルート、指数、符号、下付き文字、上付き文字、論理記号
和、積、積分、交差、和集合
かっこ、角かっこ、中かっこ、かっこの切り替え
等号、小なり、大なり、~に相似、~の部分集合、~の超集合、~に比例
積分、微分、偏微分、勾配、極限
行列、行列コマンド
三角関数、双曲線関数、対数関数、演算コマンド、ルールの作成と適用のためのコマンド
式の位置およびその周囲の間隔を調整するコントロール、整列を指定するコマンド、強制改行を設定および解除するコマンド
FrameMaker で数式を作成し、文書で使用する方法について説明します。
数式を作成するには、まず文書に数式オブジェクトを挿入し、数式に数式エレメントを挿入します。
テキスト内で数式を挿入する位置をクリックします。 テキストが回転したテキスト枠内にある場合は、まず回転したテキスト枠を選択し、Esc キー、g キー、0(ゼロ)キーを順に押して枠の回転を解除します。
を選択します。
数式パネル上で、数式ポップアップメニューから新規数式コマンドの 1 つを選択します。 小、中、大は、新しい数式で使用されるフォントサイズです。
新規数式オブジェクトが、挿入ポイントのある行の下に固定された枠の中に、疑問符として表示されます。 数式エレメントを挿入すると、疑問符プロンプトがそのエレメントで置き換えられます。

エレメントを入力するか、 数式 ポッド上のアイテムをクリックして、数式エレメントを数式に挿入します。

数式ポップアップメニューから「数式枠の縮小」を選択します。 このオプションを使用すると、数式の周りの枠が縮小され、数式がテキスト行にあるアンカー記号に配置されます。

数式がどちらかの側のテキストに近すぎる場合は、枠の前または後にスペースを挿入します。 FrameMaker は、インラインの数式を含んでいる枠を文字として扱い、そのまわりに余分なスペースを置きません。
数式の高さが行に対して高すぎる場合は、行の上または下のスペースを広げます。 書式バーの 行間 ポップアップメニューを使用して、固定行間隔をオフにします。
空白の段落内をクリックします。
段落カタログの段落書式を適用するか、独自の書式を設定します。段落書式を使用すると、数式を含む段落の整列、縦方向への均等配置および自動番号を定義できます。
ドキュメントウィンドウの右上隅にある「数式」ボタン
をクリックします。
数式パネル上で、数式ポップアップメニューから新規数式コマンドの 1 つを選択します。 小、中、大は、新しい数式で使用されるフォントサイズです。
新規数式オブジェクトが、空白段落の下に固定された枠の中に疑問符として表示されます。 数式エレメントを挿入すると、疑問符プロンプトがそのエレメントで置き換えられます。

エレメントを入力するか、数式ポッド上のアイテムをクリックして、数式エレメントを数式に挿入します。

数式ポップアップメニューから「数式枠の縮小」を選択します。 このオプションを使用すると、数式の周囲の枠が縮小されて、数式が空白段落内に配置されます。

ドキュメントウィンドウの右上隅にある「数式」ボタン
をクリックします。
グラフィック枠またはグラフィック枠内のオブジェクトを選択します。
数式パネル上で、数式ポップアップメニューから新規数式コマンドの 1 つを選択します。 小、中、大は、新しい数式で使用されるフォントサイズです。
新規数式オブジェクトが、疑問符として枠内に表示されます。 数式エレメントを挿入すると、疑問符プロンプトがそのエレメントで置き換えられます。

エレメントを入力するか、 数式 ポッド上のアイテムをクリックして、数式エレメントを数式に挿入します。
目的の位置に正確に数式を配置するには、Ctrl キーを押しながらクリックして、最初に数式を選択します。
次のいずれかの操作を行って、数式を移動します。
マウスを使用してドラッグします。
矢印キーで移動します。
を選択して正確に配置します。
FrameMaker で数式エレメントと数式を挿入する方法と演算範囲について説明します。
数式には、 数式 ポッド上の文字、テキスト文字列、演算子、およびその他の数学的なエレメントなどの数式エレメントから成る式が含まれます。

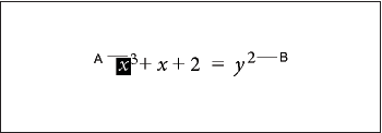
A. 英数字 B. 文字列 C. 式 D. 演算子
数式オブジェクトの作成後、数式エレメントを入力するか、 数式 ポッド上でそれらのエレメントをクリックして数式エレメントを挿入します。キーボードからアイテムを挿入するときに、 数式 ポッドを閉じることができます。
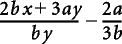
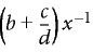
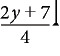
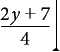
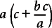
数式に数式エレメントを挿入すると、FrameMaker によって数学的構文が調整されます。 結果は、選択または挿入ポイントの位置などの「演算の範囲」により異なります。 例えば、分数に「x」を挿入する場合、分子、分母または分数全体のどれが選択されているかによって異なります。
x を掛けた場合 |
結果 |
|---|---|
|
|
|
|
|
|
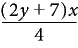
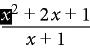
最初の例では、7 のみが x 倍になります。 2 番目の例では によってかっこが追加されています。これは 2y + 7 の式全体が x 倍になることを示しています。 最後の例では、分数全体が x 倍になります。 最初と最後の例にある挿入ポイントの大きさは、範囲を示しています。
数式の誤りのほとんどは、エレメントの挿入時に選択した演算の範囲が小さすぎたり大きすぎるなど不正確であることが原因です。 エレメントを挿入する前に、必要な範囲を慎重に選択します。
式を選択するか、数式内に挿入ポイントを置きます。
次の操作のいずれかを行います。
数式 ポッドを使用して数式エレメントを挿入するには、エレメントをクリックします。
キーボード上にある英数字や記号を挿入するには、該当するキーを押します。 かっこ、角かっこ、プラス記号、等号などを入力できます。 開くかっこを入力すると、閉じかっこが自動的に挿入されます。
バックスラッシュシーケンスを入力して数式エレメントを挿入するには、バックスラッシュ( \ )とエレメントを示す文字列を入力して Return キーを押します。 例えば、無限大の記号
)を挿入するには、\infty と入力して Return キーを押します。
カスタム数式エレメントを挿入する.
エレメントが 1 つ以上のオペランドを必要とする場合、各オペランドに疑問符プロンプト
が表示されます。オペランドが必要ない場合は、挿入ポイントが表示されます。 別のオペランドに移動するには Tab キーを押します。
テキスト文字列とは、1 つの単位と解釈される一連の文字列です。 式を構成する文字とは異なり、テキスト文字列内の文字は通常は斜体では表示されず、乗算されません。

FrameMaker では、テキスト文字列には数学的な意味はありません。 例えば、演算コマンドを実行すると、tan 関数の数値は計算されますが、文字列「tan」は計算されません。
数式 ポッドの記号ページ上で 「数式を開始」をクリックします。二重引用符が 2 つ( " " )表示されます。 アポストロフィ( ' )または二重引用符(")を入力して文字列を開始することもできます。
文字列のテキストを入力します。 引用符が消えて、入力どおりにテキストが表示されます。 文字列の一部としてアポストロフィや二重引用符を挿入するには、Ctrl キーを押しながら実際のキーを押します。
記号ページ上の 「数式を終了」 をクリックするか、 Return キーを押します。
数式オブジェクトには、数式や式が通常 1 つ含まれていますが、 複数の式を含む水平配置または垂直配置の数式オブジェクトを設定できます。 配置を選択する場合、配置内の式はすべて 1 つのオブジェクトとして選択されます。

A. 水平配置 B. 等号に沿って整列した垂直配置
FrameMaker は、リスト内の式を自動的に整列します。配置を移動する場合、式はすべて相対的な位置を保持します。
配置の最初のアイテムにする式か、配置に追加する式を選択します。
数式ポッドの演算子ページで、水平配置エレメント(
)または垂直配置エレメント(
)を除き、数式が関数の引数になります。数式エレメントを追加するには、エレメントを入力するか 数式 ポッドのエレメントをクリックします。水平配置または垂直配置の式が表示されます。 選択した式が配置内の最初の項として表示されます。 2 つめの項は疑問符プロンプトとして配置内に表示されます。
クリック前 |
クリック後 |
|---|---|
|
|
|
|
|
|
最初の例では水平配置の式が挿入され、2 つめの例では垂直配置の式が挿入されています。 また、選択した式が配置内の最初の項になります。 最後の例では、垂直配置の式がより大きい式の一部として挿入されます。
数式ポッド上の記号ページには、ギリシャ文字、その他の記号、および分音符号が含まれています。
記号ページには、大文字のアルファ(A)のような、アルファベットにもあるギリシャ文字は含まれていません。 次の例は、記号ページで
をクリックした場合の結果を示しています。
クリック前 |
クリック後 |
|---|---|
|
|
|
|
分音符号は挿入ポイントの位置の左にあるエレメントに、または選択した式に表示されます。 挿入する点や主な分音符号ごとに該当するボタンを一度クリックします。
数式ポッドの演算子ページには、一般的に使用される演算子、ルート、指数、記号、下付き文字、上付き文字、論理記号など含まれています。
演算子を挿入する際に式が選択されると、式は最初のオペランドになります。 次の例は、演算子ページ上のプラス記号
)または除算の演算子(
)をクリックした結果を示しています。
クリック前 |
クリック後 |
|---|---|
|
|
|
|
|
|
除算の演算子は、スラッシュ(/)やダッシュ(
)、または除算記号(
を選択します。
FrameMaker では、指数を数学的に演算することができますが、上付き文字の演算はできません。

A. 上付き文字 B. 指数
数式ポッド上のラージページには、和、積、積分、交差および和集合が含まれています。
ラージエレメントを挿入するときに数式が選択されると、その数式が最初のオペランドになります。 次の例は、
)をクリックした場合の結果を示しています。
クリック前 |
クリック後 |
|---|---|
|
|
|
|
ラージページから数式エレメントを挿入した後で、オペランドを加えることができます。
区切り文字ページには、かっこ、角かっこおよび中かっこのような区切り文字が含まれています。
1 対の区切り文字を挿入するときに式を選択すると、その式は区切り文字の内側に置かれます。 次の例は、区切り文字ページ上のかっこをクリックした結果を示しています。
クリック前 |
クリック後 |
|---|---|
|
|
|
|
かっこを角かっこ([ ])や中かっこ({ })にすることもできます。
関係演算記号ページには、=、<、>、
、
、
、
、
などの記号が表示されます。
2 進法の等号(
)を除くすべての関係演算記号は、挿入ポイントの位置の左側か右側の文字または選択範囲に適用されます。 乗算したエレメントの間に関係演算記号を挿入する場合は、挿入ポイントの両側にあるエレメントに適用されます。
2 進法の等号
は現在の式の右側に表示されます(2 つ目の例を参照してください)。挿入ポイントまたは選択範囲が上付き文字か下付き文字にある場合、等号は上付き文字か下付き文字に表示されます。
クリック前 |
クリック後 |
|---|---|
|
|
|
|
|
|
Esc キー、m キー、= キーを順に押します。
クリック前 |
クリック後 |
|---|---|
|
|
微積分ページには積分、微分、偏微分、勾配、および極限関数があります。
微積分エレメントの挿入時に式を選択すると、その式が最初のオペランドになります。 次の例は、微積分ページ上の積分記号
)をクリックした結果を示しています。
クリック前 |
クリック後 |
|---|---|
|
|
|
|
オペランドの位置の変更や追加を行うことができます。
行列ページには、1 × 1 から 3 × 3 までの行列エレメントが含まれています。行列の作成後に、行や列を追加できます。
行列エレメントの挿入時に式を選択すると、その式が行列で最初のセルになります。
クリック前 |
クリック後 |
|---|---|
|
|
|
|
関数ページには、三角関数、双曲線関数、対数関数、符号関数、極限関数、一般関数が含まれています。
FrameMaker により、関数は挿入ポイントまたは選択範囲に配置されます。 数式が選択されると、極限値と一般関数
と
を除き、数式が関数の引数になります。次の例は、関数ページ上の sin 関数をクリックしたときの結果を示しています。
クリック前 |
クリック後 |
|---|---|
|
|
|
|
FrameMaker に組み込まれている数式エレメントの挿入に加えて、文書に定義されているカスタム数式エレメントを挿入できます。
FrameMaker では、カスタム数式エレメントには数学的な意味がありません。 例えば、演算子用のカスタムの数式エレメントは数式内の演算子として処理されます。 しかし、FrameMaker はそのエレメントを演算できません。
数式 ポッドの 数式 ポップアップメニューから 「数式エレメントを挿入」 を選択します。
エレメント名を選択して「挿入」をクリックします。
FrameMake で数式枠を縮小、拡大する方法について説明します。
数式を縮小すると、周りのアンカー枠が数式に合わせて縮まります。 この操作により、枠のアンカー位置が「挿入ポイントの位置」に変更され、枠の後に挿入ポイントが置かれます。


数式での作業を完了し、最小のスペースにし、周辺のテキストのベースラインと整列するように数式枠を縮小します。 編集を容易にするためには、数式枠を拡大してアンカー枠を広げます。
数式の中をクリックするか、その枠を選択します。
数式ポッド上で、数式ポップアップメニューから「数式枠の縮小」または「数式枠の拡大」を選択します。 縮小済みの数式枠の縁が画面上に表示されない場合があります。 しかし、プリントされた文書には表示されます。
FrameMaker で数式を編集する、区切り文字を削除する、エレメント書式と行列を操作する方法について説明します。
テキストを編集するように、数式も編集することができます。例えば、数式エレメントの追加、変更、並べ替え、削除、カット、コピーおよびペーストなどの編集ができます。 数式を編集すると、その構文が必要に応じて調整されます。
行列を変更することができます。行数や列数の追加や削除、大かっこの削除、および行の高さや列の幅の変更などができます。 また、かっこのような数式エレメントの一部は、いくつかの表記方法の中から選択することもできます。オペランドを積分や和分などに追加することもできます。
数式枠が縮小されている場合は、編集前に数式枠を拡大します。 アンカー枠が再び標準サイズになり、操作をするスペースが大きくなります。
スペースバーを押します。 選択範囲が拡大して次に高い式を含めることができます。 次の例は、スペースバーを繰り返し押したときの結果です。
元の選択範囲 |
|
1 回押した結果。 |
|
2 回押した結果。 |
|
次のいずれかの操作を行います。
選択範囲を右側にある次の副式に変更するには、右向き矢印キーを押します。
選択範囲を左側にある次の副式に変更するには、左向き矢印キーを押します。
選択範囲を次の疑問符プロンプトに変更するには、Tab キーを押します。
削除するエレメントを選択し、Delete キーを押します。 エレメントが疑問符プロンプトで置き換えられます。
次のいずれかの操作を行います。
エレメントを置換するには、 数式 ポッドをクリックするか、置換部分を入力して挿入します。
エレメントを削除するには、再び Delete キーを押します。 また、FrameMaker では、プラス記号やかっこのように、不要なエレメントも削除されます。
Ctrl キーを押しながらクリックして数式を選択し、Delete キーを押します。
数式の入力または編集を終了後、かっこ、中かっこおよび角かっこなどの余分な区切り文字が追加されることがあります。 余分な区切り文字を削除できます。 後で演算コマンドを使用すると、FrameMaker は区切り文字がまだ存在するかのように数式を演算します。
すべての区切り文字を削除するには、式を選択します。 数式 ポッドの 区切り文字 ページ上で、 「かっこを削除」をクリックします。
クリック前 |
クリック後 |
|---|---|
|
|
区切り文字を削除するには、区切り文字の右側に挿入ポイントを置いて Delete キーを押します。 区切り文字が対になっている場合は、例えば、a と b の間にある左側のかっこなどの、対の一方の区切り文字も削除されます。
前 |
後 |
|---|---|
|
|
数式エレメントを表す方法がいくつかあります。 例えば、区切り文字を
、
、または
)を除き、数式が関数の引数になります。除算については、
、
, または
.
数式全体を選択します。
数式 ポッドの演算子、ラージ、区切り文字または微積分ページ上で 「書式を切り替え」をクリックします。コマンドは 4 ページとも同じで、複数の書式を含むすべてのエレメントに機能します。 時には 2 回以上クリックして希望の書式を開きます。
根号、勾配記号、対数には 1 つまたは 2 つのオペランドを使用できます。 ラージページと微積分ページ上の積分と他の記号には 1 ~ 3 つのオペランドを使用できます。

やり直しせずに、これらのエレメントにオペランドを追加することができます。
エレメントを含む式の任意の場所をクリックまたは選択します。
「ラージ」または「微積分」ページ上の「オペランドを追加」クリックします。新しいオペランドを指定する位置に疑問符プロンプトが表示されます。
行列内の行数や列数を変更したり、行列の周囲の角かっこを追加、削除することができます。 内容に従って、列幅を列ごとに変更することも、すべての列を同じ幅に指定することもできます。 同様に、行ごとに行の高さも変更できます。
また、行列を転置したり行列代数を実行することもできます。
行や列を追加する場合は、行列内に挿入ポイントを置きます。 On the Matrices page of the 数式 ポッドの行列ページ上で、 行列コマンドポップアップメニューから「行を追加」 または 「列を追加」を選択します。
列の追加前 |
列の追加後 |
|---|---|
|
|
「行を追加」では、一番下に行が追加され、
「列を追加」では、一番右側に列が追加されます。
行または列を行列から削除するには、行または列を選択して、Delete キーを押します。
行列の周囲の角括弧を追加、削除するには、行列全体を選択します。 数式 ポッドの行列ページ上で、「大かっこを追加/削除」をクリックします。
行列内で行の高さまたは列の幅を変更するには、行列を選択します。 数式 ポッドの行列ページ上で、 行列の高さ ポップアップメニューまたは 行列の幅 ポップアップメニューから 「均等」 または 「比例」 を選択します。

「比例」を選択した場合、すべての行は行内で最も高いセルを保持できる高さとなります。各列は、列内で最も幅の広いセルを保持できる幅になります。
「均等」を選択した場合、すべての行は行列全体で最も高いセルを保持できる高さとなります。各列は、行列全体で最も幅の広いセルを保持できる幅になります。
FrameMaker での数式エレメントの種類、組み込みされた数式エレメントの変更、カスタムの数式エレメントの定義について説明します。
数式ポッドに表示されない数式エレメントを使用する必要がある場合は、![]()
)を除き、数式が関数の引数になります。しかし、FrameMaker は、カスタム数式エレメントを数学的に演算できません。
数式ポッドにあらかじめ含まれているエレメントを別の形で作成文書に表示するには、エレメントを再定義します。 例えば、asin(逆サイン)関数を再定義し、sin–1 のように表示できます。 組み込みエレメントの外見は再定義できますが、その種類を変更することはできません。
また、別の文書から数式エレメントの定義を取り込むこともできます。
カスタム数式エレメントは、「FrameMath」という名前で始まる 1 つ以上のリファレンスページ上に保管されます。 各定義はアンカーのないグラフィック枠内にテキスト行で示され、エレメント名と同じ名前が付いています。

A. グラフィック枠 B. テキスト行
数式エレメントの種類は、エレメントがその周囲の他のエレメントに関してどのように機能するかを表します。 例えば、プラス記号(+)は挿入辞という種類に属します。挿入辞には、オペランドが 2 つあり、1 つは左に、もう 1 つは右に配置されます。
次の種類のカスタム数式エレメントを定義できます。
型 |
例 |
オぺランド数 |
|---|---|---|
原数 |
|
「なし」 |
区切り文字 |
|
1 |
関数 |
|
1、エレメントの右 |
挿入辞 |
|
2、エレメントの左右 |
ラージ |
|
3 つまで、エレメントの上、下、右 |
極限値 |
|
2 つまで、エレメントの下、右 |
接頭辞 |
|
1、エレメントの左 |
接尾辞 |
|
1、エレメントの右 |
垂直配置 |
|
2、縦に整列(カスタムの垂直配置を定義するテキスト行は、配置項目間の区切りとして使用されます) |
次の種類のカスタムの数式エレメントは定義できません。
型 |
例 |
|---|---|
微分 |
|
分音符号 |
|
水平配置 |
|
行列 |
|
ルート |
|
スクリプト |
|
代入 |
|
除算バー(縦) |
|
新しいページに FrameMath1 という名前を付けます 「F」と「M」はこのとおりに大文字で入力します。
グラフィック枠ツールを使用して、ページ上にアンカーのないグラフィック枠を作成します。
枠名ダイアログボックスで数式エレメント名を入力します。 組み込みのエレメントを再定義する場合は、そのエレメント名を入力します。
テキスト行ツールを使用して、グラフィック枠にテキスト行を追加します。
次のガイドラインを使用して、テキスト行に数式エレメントを作成します。
テキスト行にはすべての文字を入力でき、文字書式の変更もできます。 微調整のショートカットを使用して文字を移動させることもできます。
区切り文字を除くすべての数式エレメントでは、テキスト行は単なる数学記号であり、オペランドではありません。 数式にエレメントを後から挿入する場合、数式エレメントの種類に基づいて、オペランドが的確に配置されます。 例えば、合計または積分符号のようなラージエレメントにはオペランドが最大 3 つ使用され、符号の上、下および右に配置されます。
組み込みの区切り文字に 2 つまたは 3 つのオペランドが含まれる場合でも、カスタムの区切り文字にはオペランドを 1 つしか使用できません。 オペランドの位置を示すには、テキスト行にスペースを挿入します。 テキスト行にスペースを挿入しない場合は、2 つの区切り文字の間にオペランドが配置されます。

FrameMaker はカスタムの数式エレメントの枠内にある最初のテキスト行を使用します。 枠内に 1 つのテキスト行しかないことを確認してください。
グラフィック枠を選択します。
数式 ポッド上で、 数式 ポップアップメニューから 「カタログに定義を追加」 を選択します。
カスタムの数式エレメントを定義している場合、ポップアップメニューからエレメントの種類を選択して、 「追加」をクリックします。
数式内に挿入ポイントを配置します。
数式 ポッドの 数式 ポップアップメニューから 「数式エレメントを挿入」 を選択します。
「カスタムのみ表示」の選択を解除して、必要なエレメント名が見つかるまでスクロールします。
「キャンセル」をクリックします。
次のいずれかの操作を行い、数式エレメントを含む FrameMath リファレンスページを表示します。
カスタムの数式エレメントが数式に表示される場合は、エレメントを選択して数式ポッドの数式ポップアップメニューから「定義を更新」を選択します。 次に、「枠へ移動」をクリックします。
数式にまだカスタムの数式エレメントを挿入していない場合は、 を選択します。次に、必要な FrameMath リファレンスページを表示します。
次のいずれかの操作を行います。
数式エレメントを定義するテキスト行を編集します。 ボディページを再表示すると、修正した定義が使用されて、数式がもう一度縮小されます。
グラフィック枠を削除します。 エレメントが数式に表示される場合、FrameMaker ではエレメント自体ではなくエレメント名が表示され、そのエレメント名の前後に疑問符が表示されます。
FrameMaker では、数式の数学的な意味合いに従って数式エレメントが配置されます。 場合によっては、エレメントを微調整して、数式内で他のエレメントと近づけたり離したりなど、エレメントの位置を変えることもできます。

また、エレメントの両側の空白スペースを制御することができます。

A.デフォルトの間隔B.左右に追加されるスペース C.左右から削除されるスペース
数式 ポッドの配置ページで、次のいずれかの操作を行います。
選択された式を配置するには、微調整矢印をクリックします。 必要な回数をクリックします。 1 回クリックするごとに、式は画面上で 1 ピクセルずつ移動します。 正確性を向上させる場合はズームインします。

微調整を削除するには、微調整を削除するには、「微調整」セクション
.
配置オフセットを検査し、数値で調整するには、「位置の設定」をクリックします。正確なオフセットは数式エレメントの位置設定ダイアログボックスの「オフセット」セクションに表示されます。 位置を調整するには、「オフセット」セクションに値を入力して「設定」をクリックします。
余白を調整するには、プラス符号(+)をクリックして追加し、マイナス記号(-)をクリックして削除します。 必要な回数をクリックします。 1 回クリックするごとに間隔が 1 ピクセルずつ増減します。 正確性を向上させる場合はズームインします。
スペースの値を調整するには、「位置の設定」をクリックします。正確な間隔が数式エレメントの位置設定ダイアログボックスの「間隔設定」セクションに表示されます。 間隔を調整するには、「間隔設定」セクションに値を入力して「設定」をクリックします。間隔を初期値に戻すには、「間隔設定」セクション(
.
新しい間隔で、挿入辞、接頭辞、接尾辞、ラージ、スクリプト、および除算バーなどの数式エレメントの定義を更新することができます。 この場合、FrameMaker では、文書中の表示位置にかかわらず、エレメントの周囲の間隔を調整して数式を再び縮小します。
また、文字間隔を小、中、大のすべての数式で一律に変更することができます。
数式内のエレメントの周囲の間隔を調整してからエレメントを選択します。
数式 ポッドの 数式 ポップアップメニューから 「定義を更新」 を選択します。
次のいずれかの操作を行います。
文書中のエレメントの間隔を更新するには、「更新」をクリックします。
初期設定の間隔に戻すには、「初期設定」をクリックします。
FrameMaker で改行を定義、数式を枠内またはリスト内ポイントに沿って配置する方法について説明します。
数式が数行にわたる場合の数式の整列や、配置、行列内の項の整列をコントロールできます。 また、別のアンカー枠内にある数式も整列させることができます。

他のオブジェクトと同様に数式を操作できます。 数行にわたる数式の垂直配置や行のアイテムの整列を自動または手動でコントロールできます。 手動整列の基準点は自動整列よりも優先されます。

上下またはベースラインに沿って水平配置の数式の項を整列することができます。

上下またはベースラインに沿って行列の各行のセルを整列することもできます。 左右、中央、または等号に合わせて、各列のセルを揃えることもできます。

A. ベースライン B. 中央
数式が数行にわたる場合、数式全体が単一のアンカー枠に留まります。 数式が自動的に改行する位置を設定できます。 改行幅を変更する場合、数式は新しい幅に再設定されます。


数式内の特定の位置で強制的に改行することもできますが、 別の数式を作成するには、手動で改行する代わりに、 垂直配置の式を挿入します。
改行を変更する方法がいくつかあります。
自動改行の幅を変更するには、数式内でクリックするか、その部分を任意に選択します。 を選択します。「自動改行する位置」ボックス内の値を編集し、「設定」をクリックします。値は数式の枠の幅にあらかじめ設定されています。

手動改行を削除するには、改行記号がある数式の部分を選択します。 数式 ポッドの 配置 ページで、 改行 ポップアップメニューから 「手動で解除」 を選択します。
数式が含まれている段落の書式は、数式表示の整列(左、中央、右)を制御します。

数式が含まれている段落内(数式内ではない)をクリックします。
数式または配置をクリックします。
数式ポッドの配置ページ上で、左/右ポップアップメニューからオプションを選択します。 「Left Of =」または「Right Of =」を選択すると、行は等号の片側に沿って整列します。等号のない行はその左側に沿って揃います。
次のいずれかの操作を行います。
整列する複数行の数式の最初の行でクリックします。
配置内の他の項と整列させる垂直配置の数式の項をクリックします。
数式ポッドの配置ページ上で左/右ポップアップメニューから「手動で設定」を選択します。 手動整列記号
)は、制御記号の表示中に挿入ポイントの位置に表示されます。複数行の数式の後続の行は、手動整列の基準点で左揃えになります。 垂直配置の数式の項は、手動整列の基準点で配置内の他の項と整列します。
手動整列の基準点を含む数式の一部を選択します。
数式ポッドの配置ページ上で左/右ポップアップメニューから「手動で解除」を選択します。 別の設定を行っても手動整列の基準点を解除できます。
配置内をクリックします。
数式 ポッドの 配置 ページ上で、 上/下 ポップアップメニューからオプションを選択します。
行列内をクリックします。
数式ポッドの配置ページ上で、上/下ポップアップメニューまたは左/右ポップアップメニューからオプションを選択します。 「左 / 右」コマンドおよび「上 / 下」のコマンドは行列全体に影響します。個別のセルを整列するには、微調整を行います。
配置または行列全体を選択するには、次のいずれかの操作を行います。
配置または行列をドラッグします。
行列内に挿入ポイントを配置し、スペースバーを数回押します。
数式 ポッドの 配置 ページ上で、「位置の設定」 をクリックします。
他のオブジェクトを揃えるように、グラフィック枠内でいくつかの数式オブジェクトを整列することができます。 また、オブジェクトが別々のグラフィック枠にある場合でも、手動整列の基準点に沿って複数の数式オブジェクトを整列することができます。

数式を編集するときに、FrameMaker は数式オブジェクトの整列を維持します。 例えば、2 つの数式が左揃えの場合、拡大または縮小しても数式は左揃えのままです。
最初の数式は Ctrl キーを、他の数式は Ctrl+Shift キーを押しながらクリックして、整列させる数式を選択します。
最後に選択した数式が整列させる数式であることを確認してください。
を選択します。

目的の整列を選択して、「OK」をクリックします。
整列させる数式の 1 つに手動整列の基準点を設定します。
手動整列の基準点を設定しない場合は、数式は左揃えになります。
数式をクリックして、 を選択します。
整列ポップアップメニューから「手動」を選択し、「整列の基準点からのオフセット」セクションで整列の基準点の位置を指定します。 左のオフセットは枠の左端から手動整列の基準点までの距離です。
正確に上部のオフセットを指定する必要はありません。 他のオブジェクトと同様に、後から数式を上下に移動できます。
「設定」をクリックします。
整列させるそれぞれの数式について、1 から 4 の手順を繰り返します。 各数式に左端から同じ距離を使用しますが、枠内で数式を縦に配置するには、上のオフセットを変更します。 整列した数式が異なるアンカー枠にある場合は、左端を同じ位置に揃えてあるか確認してください。
FrameMaker で数式のフォントと書式設定を変更する方法について説明します。
文書にはすべての数式に適用されるフォント設定が含まれています。 これらの設定では、小、中、大の数式のフォントサイズと間隔を決定します。 また、ギリシャ文字や記号、関数、数、記号列および変数などの文字書式を決定します。
数式全体の既定サイズを変更することができます。 また、個々の数式エレメントの文字書式を変更し、例えば、色や特殊なフォントを使用することもできます。
文書内のすべての数式に使用されているフォントサイズや文字書式も変更可能です。
エレメントの文字間隔、文字幅、上付き文字、下付き文字、下線、上線、打ち消し線、改訂バー、またはペアカーニングの属性は変更できません。 また、個々のギリシャ文字や記号、何種類かの演算子のフォントも変更できません。
数式のプリセットサイズまたは色を変更するには、数式をクリックし、 を選択して、次のいずれかの操作を行います。
数式のサイズを変更するには、サイズポップアップメニューから適切な サイズ を選択して 「設定」をクリックします。数式の枠が縮小された場合は、FrameMaker によってもう一度ラップされます。
数式のカラーを変更するには、 カラー ポップアップメニューから適切なカラーを選択して、 「設定」をクリックします。
文字書式を変更するには、そのエレメントまたは数式を選択し、任意にテキストを変更します。
上付き文字または下付き文字を作成するには、適切な演算子を挿入します。
文字の間隔を変更するには、 数式 ポッドの配置ページを使用して、微調整します。
式の上または下に線を置くには、 数式 ポッドの記号ページの分音記号を使用します。
文書中のすべての小、中、大の数式のフォントサイズや間隔を変更できます。 フォントを一括変換すると、FrameMaker により、文書内のすべての縮小された数式がもう一度フォーマットされてラップされます。
数式内のギリシャ文字や記号は通常、記号フォントで表示されます。 Mathematical Pi や Universal Greek がシステムにインストールされている場合は、これらのフォントを使用できます。
関数、数、および文字列は、通常 Times New Roman または Times フォントで、 変数は斜体で表示されます。 これらの種類のエレメントのそれぞれの文字書式は変更できます。 例えば、すべてのエレメントを Helvetica で表示し、関数を斜体で、変数を太字で表示することもできます。日本語版の場合は、FrameMaker ではインストールディレクトリの「maker.ini」ファイル、FrameMaker+SGML では「fmsgml.ini」ファイルの中の「DefaultJapaneseFamily=」で指定されているフォントになります。
数式 ポッドの数式ポップアップメニューから「数式サイズ」を選択し、以下を変更します。
文書全体の数式フォントを変更するには、次のいずれかの操作を行います。
フォントサイズと文字間隔を指定し、「設定」をクリックします。文字間隔はフォントサイズのパーセントで示されます。 正の値でエレメントの周囲の間隔が広がり、負の値で狭くなります。
「初期設定」をクリックします。
ギリシャ文字と記号用のフォントを変更するには、 数式記号 ポップアップメニューから適切なフォントを選択して、 「設定」をクリックします。
関数、数、文字列、変数のいずれかの文字書式を変更するには、まず希望の文字書式を作成します。 それから 関数、、 数、 記号列または 変数 のいずれかのポップアップメニューから文字書式を選択し、 「設定」をクリックします。ポップアップメニュー内に作成した書式が表示されます。
FrameMaker で数式、数式変換、数式行列、加算、乗算、除算、ルールのポップアップ、変更を評価する方法について説明します。
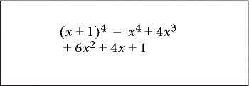
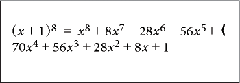
式や数式の作成後に、数学的な表示方法を変更して変換できます。 例えば、多項を展開、因数分解、式を簡略化および分数を加算することができます。
元の選択範囲 |
|
展開 |
|
項の展開 |
|
項の再展開 |
|
また、値を代入したり、計算して数式を演算できます。
元の選択範囲 |
|
展開 |
|
代入値 |
|
演算結果 |
|
式または式の一部を選択します。
数式ポッドの行列ページまたは関数ページ上でコマンドを選択します。 例えば、式を選択した後、関数 ページ上の 乗算 ポップアップメニューから 「項の展開」 を選択します。
数式の変換または演算を行うには、行列 ページの 行列コマンド ポップアップメニュー上のコマンドと、 関数 ページの 6 つのポップアップメニュー上のコマンドを使用します。
選択した行列の行数と列数を入れ替えます。
選択した行列 |
転置後 |
|---|---|
|
|
行列乗算と加算を行い、選択した行列内の点と交差の積を演算します。
選択した行列 |
行列代数の適用後 |
|---|---|
|
|
|
|
|
|
|
|
|
|
行列代数を実行後、「簡略化」コマンドを使用して項のように結合することができます。
選択した分数を加算し、単独の分数として結果を表示します。 このコマンドも項のように組み合わせます。
選択した分数 |
加算後 |
|---|---|
|
|
|
|
|
|
選択した式に 2 つ以上の分数の和が含まれている場合、「分数の加算」は最初の 2 つのみを加算します。 すべての分数を加算するには、このコマンドを繰り返し使用します。
選択した式 |
|
1 回加算 |
|
2 回加算 |
|
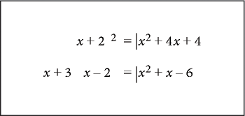
選択した変数の指数を減じる場合に多項式を調整します。
適用前 |
適用後 |
|---|---|
|
|
選択した変数の指数を加算する場合に多項式を調整します。 以下の例では、「昇べき順」を選択する前に、x—任意の x— を選択します。
適用前 |
適用後 |
|---|---|
|
|
項を因数分解したり、式を展開したり、加算に乗算と除算を分配するには、関数ページ上の乗算ポップアップメニューを使用します。
積から選択した項を因数分解します。
因数分解前 |
因数分解後 |
|---|---|
|
|
|
|
選択した項を含む項のみを因数分解します。
因数分解前 |
因数分解後 |
|---|---|
|
|
選択した式を簡略化し、加算に乗算を分配し、正の整数乗で表されている選択した項を展開します。
選択した式 |
展開後 |
|---|---|
|
|
|
|
「簡略化」コマンドでも選択した式を簡略化できます。
選択した式の左側の因数の最初の一対を展開します。
選択した式 |
展開後 |
|---|---|
|
|
このコマンドを数回使用すると結果は別の形で表示されます。
次の例のように、選択する式によって様々な演算を実行します。
加算に除算を分配します。
選択した式 |
分配後 |
|---|---|
|
|
逆算を行うには、「分数の加算」コマンドを使用します。
加算に乗算を分配します。
選択した式 |
分配後 |
|---|---|
|
|
逆算を行うには「因数分解」コマンドを使用します。
根号や指数を含む積や商を、累乗となった単式に変換します。
選択した式 |
分配後 |
|---|---|
|
|
|
|
|
|
逆算を行うには「簡略化」コマンドを使用します。
等号の両側で同じ演算を実行します。
選択した式 |
分配後 |
|---|---|
|
|
|
|
|
|
多項の分子や分母を含む分数の長除算を実行します。
以下の例では、「長除算」を選択する前に、x(x は任意)を選択します。最初の結果の分数にある「x」を選択してもう一度「長除算」を選択すると、2 つめの結果が得られます。
除算前 |
|
1 回除算 |
|
2 回除算 |
|
分母の正の指数を負に、負の指数を正に変更し、選択した式で除算を乗算に変換します。
選択した式 |
指数変換後 |
|---|---|
|
|
|
|
負の指数を除算の演算子に変換するには、「分数変換」コマンドを使用します。
「指数変換」コマンドと同様に、除算を乗算に変換しますが、第 1 レベルの演算子にのみ適用されます。
選択した式 |
指数変換後 |
|---|---|
|
|
|
|
第 1 レベルの負の指数を除算の演算子に変換するには、「一次分数変換」コマンドを使用します。
乗算と除算を、除算と乗算を反対に入れ替えることで選択した式で、負の指数を正に変換します。
選択した式 |
分数変換後 |
|---|---|
|
|
|
|
「分数変換」コマンドと同様に、負の指数を正に変換しますが、第 1 レベルの指数にのみ適用されます。 選択した式に第 1 レベルの負の指数がない場合は、このコマンドは無効です。
選択した式 |
分数変換後 |
|---|---|
|
|
|
|
選択した式で整数を浮動小数点数に変更し、式の数値を求めます。
選択した式 |
浮動小数点変換後 |
|---|---|
|
|
|
|
|
|
|
|
浮動小数点数で小数第 15 位まで示すには、「全桁表示」コマンドを使用します。
「不動小数点変換」は、不定値になる演算の場合の NaN(数でない)を表示します。 計算結果が膨大な値になる演算の場合に無限大を表示します。 極小数はゼロとして計算される場合があります。
選択した式 |
浮動小数点変換後 |
|---|---|
|
|
|
|
浮動小数点数を最後の桁まで正確に表示します。
選択した数 |
全桁表示後 |
|---|---|
|
|
選択した式の数値を求めます。 次の例に示すように、実行される演算は選択した式の種類によって異なります。
指数が 20 未満の累乗式を積に書き換えます。
選択した式 |
演算後 |
|---|---|
|
|
整数の階乗を計算します。 結果が大きすぎて計算できない場合は、無限大として表示されます。
選択した式 |
演算後 |
|---|---|
|
|
1 x 1 または 2 x 2 の行列を計算します。
選択した式 |
演算後 |
|---|---|
|
|
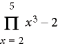
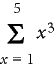
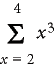
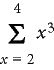
和または積から項を引き出します。
選択した式 |
演算後 |
|---|---|
|
|
「代入」コマンドと同様に置換を演算します。
差の演算子を差に書き換えます。
選択した式 |
演算後 |
|---|---|
|
|
積の対数を対数の和に、累乗の対数を対数の積に書き換えます。
選択した式 |
演算後 |
|---|---|
|
|
|
|
対数を自然対数に書き換えます。
選択した式 |
演算後 |
|---|---|
|
|
選択関数を階乗で表した式に書き換えます。
選択した式 |
演算後 |
|---|---|
|
|
特定の置換を行ってから式を簡略化します。 差の演算子を選択すると、このコマンドにより式が差の形式に書き直されます。
選択した式 |
演算後 |
|---|---|
|
|
|
|
選択した積分を多項の被積分関数に書き換えます。 このコマンドは、定積分を上限から下限の間で演算される不定積分に変換します。 多項式を完全に積分するには、「積分」を数回使用します。
選択した式 |
|
演算を 1 回実行 |
|
演算を 2 回実行 |
|
選択した微分係数を演算し、必要に応じて連鎖を複雑な式に適用します。 すべての依存関係が明示的に記述されている場合のみ、部分微分を実行します。
このコマンドにより、エレメントは、微分変数に依存しているかのように、全体微分で処理されます。 「微分」コマンドを使用して演算を実行する前に、「演算」コマンドを使用して n 番目の微分係数を展開します。
前 |
後 |
|---|---|
|
|
|
|
選択した微分のうち、第 1 レベルの微分係数のみを演算します。
前 |
後 |
|---|---|
|
|
式を変換するルールを保存して適用するには、関数ページ上のルールポップアップメニューを使用します。
例えば、「ルールを登録」を使用して a = a + 3 のようなルールを保存します。それから「ルールを適用」を使用して、別の式で a を a + 3 に置換します。
ある式を別のものに置き換えるルールを保存します。 「ルールを登録」を選択する前に、ルールとして保存する式を選択します。1 回に保存できるのは、1 つのルールだけです。
選択した項をダミー変数に指定します。 ルールでダミー変数を使用すると、ルールの左側にある明示的に指定された変数だけでなく、任意の変数と右側の式を置き換えることができます。 ダミー変数は太字で表示されます。 例えば、x=a - 2 というルールの中の x をダミー変数として指定すると、a - 2 を、x だけでなく式の中の任意の変数と置き換えることができます。
「ダミー変数の指定」を選択する前に、ダミー変数にする項を選択し、「ルールを適用」コマンドを使用して選択した式をダミー変数に割り当てられている式と置き換えます。
「ルールを登録」コマンドで保存されたルールを使用して、選択した式の中の項または項のセットを置き換えることができます。
登録したルール |
|
選択した式 |
|
ルールの適用後 |
|
ダミー変数を含むルールを適用する前に、変数に置き換える項を選択します。 次の例では、ルールの「x」がダミー変数です。
登録したルール |
|
ルールの適用前 |
|
ルールの適用後 |
|
選択した式を簡略化します。 無限大またはゼロによる除算に関する分数の数値を求めるには、「簡略化」の代わりに「浮動小数点変換」を使用します。
次の例に示すように、実行される演算は選択した式の種類によって異なります。
整数計算を実行します。
選択した式 |
簡略化の実行後 |
|---|---|
|
|
|
|
|
|
結果が大きすぎて計算できない場合は、無限大として表示されます。
項を和や積にグループ化します。
選択した式 |
簡略化の実行後 |
|---|---|
|
|
|
|
|
|
約分します。
選択した式 |
簡略化の実行後 |
|---|---|
|
|
|
|
結果から負の指数を変換するには、「分数変換」コマンドを使用します。
複素数「i」を解釈します。この複素数は、ギリシャ語のイオタ(
.
選択した式 |
簡略化の実行後 |
|---|---|
|
|
乗算と除算に指数を分配します。
選択した式 |
簡略化の実行後 |
|---|---|
|
|
|
|
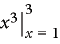
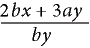
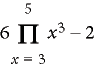
簡略化
x を簡略化すると、
という結果になります。
.
「簡略化」コマンドと同様に、選択した式を簡略化しますが、分数の乗算は行いません。
選択した式 |
簡略化の実行後 |
|---|---|
|
|
等号の片側の選択した式を分離します。 このコマンドは項を結合したり、選択した式を解いたりすることはありません。
選択した式 |
項の分離後 |
|---|---|
|
|
|
|
|
|
選択した和分や積の初項を展開します。
選択した式 |
展開後 |
|---|---|
|
|
|
|
選択した和や積のすべての項を展開します。
選択した式 |
展開後 |
|---|---|
|
|
|
|