Wissen Sie über das Platzieren und Anzeigen von Gleichungen, Inline-Gleichungen in strukturierten Dokumenten, Gleichungen in Grafikrahmen in FrameMaker.
Sie können eine Gleichung in einen Absatz integrieren oder als eigenen Absatz anzeigen. In beiden Fällen erstellt FrameMaker einen verankerten Rahmen für die Gleichung. Sie können eine Gleichung auch zusammen mit anderen Objekten in einem Grafikrahmen positionieren, z. B. um eine Grafik zu beschriften. Grafikrahmen mit Gleichungen können verankert oder unverankert sein.

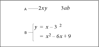
A. EingebundenB. Anzeige C. In einer Grafik zusammen mit anderen Objekten
Ein Gleichungselement besteht aus einem Rahmen mit einem Gleichungsobjekt, in das Sie mathematische Ausdrücke eingeben können. Wie ein verankerter Rahmen für Grafiken ist ein Gleichungsrahmen an einer bestimmten Stelle im Text verankert.
Sie können ein Gleichungselement in den Absatztext eingliedern oder in einem separaten Absatz anzeigen.

A. Inline-Gleichung B. Gleichung anzeigen
Ein Gleichungselement wird in der Struktur des Dokuments an der Stelle angezeigt, an der es mit Text verankert wurde, unabhängig von der Position der Gleichung auf der Seite. In der Strukturansicht wird das Gleichungselement durch ein Elementrechteck ohne abgerundete Ecken mit dem Textausschnitt <GLEICHUNG> dargestellt Die Gleichung selbst ist nicht Teil der Struktur.

Wenn Sie in SGML oder XML exportieren, schreibt FrameMaker die Gleichung in eine separate Grafikdatei (CGM-Format). FrameMaker fügt dann eine Entity-Referenz für sie in der SGML- oder XML-Datei ein.
Sie können das Dateiformat für Gleichungen ändern, indem Sie eine Lese-/Schreibregel verwenden. Wenn Sie das Dateiformat in MIF ändern, verfolgt FrameMaker die Gleichungen und die entsprechenden Dateinamen. Wenn die Gleichung mehrmals gespeichert wird, wird sie dennoch immer in der gleichen Datei gespeichert. Es werden nicht mehrere Dateien erstellt, wie es in FrameMaker 9 der Fall war.
Neues Verhalten |
Altes Verhalten |
|---|---|
Die Gleichung 1 wird in einer Datei gespeichert, z. B. als eq1.mif Das Bearbeiten des FrameMaker-Inhalts und das anschließende Speichern der Datei speichert die Gleichung 1 in der gleichen Datei eq1.mif. FrameMaker erstellt NICHT bei jeder Speicherung der gleichen Gleichung neue Dateien. |
Die Gleichung 1 wird in einer Datei gespeichert, z. B. als eq1.mif Das Bearbeiten des FrameMaker-Inhalts und das anschließendes Speichern der Datei erstellt für dieselbe Gleichung 1 eine neue Datei, z. B. eq2.mif. FrameMaker erstellt bei jedem Speichern der gleichen Gleichung neue Dateien. |
Sie können eine Gleichung auch in einen Rahmen einfügen, der bereits für eine Grafik eingefügt wurde. Dies ist zweckmäßig, wenn Sie die Gleichung mit Grafikobjekten verbinden möchten. Wenn es sich bei dem verankerten Rahmen um ein Element handelt, ist das Element Teil der Dokumentstruktur. Der Rahmeninhalt, einschließlich der Gleichung, wird in der Struktur jedoch nicht angezeigt.
Eine Gleichung, die sich zusammen mit einer Grafik in einem verankerten Rahmen befindet, kann während des Exports zu SGML oder XML zu unerwünschten Ergebnissen führen. Fügen Sie daher nur ein Objekt in den Rahmen ein, wenn Sie einen Export nach SGML oder XML vornehmen möchten.
Lernen Sie den Pod „Gleichungen“ und seine verschiedenen Einstellungen in FrameMaker kennen.
Der Pod „Gleichungen“ enthält Befehle zum Erstellen und Ändern von Gleichungen. Außerdem enthält es die Symbole, Operatoren, Funktionen und anderen Elemente, die Sie für Gleichungen benötigen. Um den Pod anzuzeigen klicken Sie im Hauptmenü auf .

A. Das Popupmenü „Gleichungen“ wird auf jeder Seite angezeigt. B. Dieser Teil des Pods ändert sich mit jeder Seite. C. Die Seitennamen werden hier angezeigt, wobei immer die aktuelle Seite hervorgehoben ist.
Der Pod „Gleichungen“ enthält neun Seiten mit FrameMath-Elementen und Befehlen. Klicken Sie oben im Pod auf den Namen der Seite, die Sie anzeigen möchten.
Griechische Buchstaben, Elementarsymbole, Diakritika und Zeichenketten
Wurzeln, Exponenten, Vorzeichen, Tiefstellung, Hochstellung und logische Symbole
Summe, Produkt, Integral, Schnittmenge und Vereinigungsmenge
Runde, eckige und geschweifte Klammern und Substitution
Gleich, kleiner, größer, ähnlich, Element von, Teilmenge von, Obermenge von und proportional zu
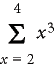
Integrale, Ableitungen, partielle Ableitungen, Gradienten und Grenzen
Matrizen und Matrix-Befehle
Trigonometrische, hyperbolische und logarithmische Funktionen, Befehle zur Berechnung von Ausdrücken und für die Erstellung und Anwendung von Regeln
Steuerung für Position und Abstand eines Ausdrucks; Befehle für die Festlegung der Ausrichtung und Befehle zum Einstellen und Löschen manueller Zeilenumbrüche
Erfahren Sie, wie Sie Gleichungen erstellen und in Ihren Dokumenten in FrameMaker verwenden.
Um eine Gleichung zu erstellen, fügen Sie ein Gleichungsobjekt in das Dokument und anschließend FrameMath-Elemente in die Gleichung ein.
Klicken Sie an der Stelle in den Text, an der Sie die Gleichung einfügen möchten. Falls sich der Text in einem gedrehten Textrahmen befindet, wählen Sie diesen aus und drücken Sie Esc g Umschalt+d 0 (null), um die Drehung aufzuheben.
Wählen Sie .
Wählen Sie im Pod „Gleichungen“ im Popupmenü „Gleichungen“ einen der Befehle „Neue Gleichung“. Die Optionen Klein, Normal und Groß geben die Schriftgröße der neuen Gleichung an.
Unterhalb der Zeile mit der Einfügemarke wird ein neues Gleichungsobjekt in Form eines Fragezeichens innerhalb eines verankerten Rahmens eingefügt. Dieses Fragezeichen wird durch das erste von Ihnen eingegebene FrameMath-Element ersetzt.

Fügen Sie die FrameMath-Elemente in die Gleichung ein, indem Sie diese manuell eingeben oder im Pod Gleichungen auf Elemente klicken.

Wählen Sie im Popupmenü „Gleichung“ die Option „Gleichung einpassen“. Durch diese Option wird der Rahmen um die Gleichung verkleinert und die Gleichung in die Textzeile am Ankersymbol eingefügt.

Wenn die Gleichung auf beiden Seiten zu dicht am Text erscheint, fügen Sie vor bzw. nach dem Rahmen ein Leerzeichen ein. FrameMaker behandelt einen Rahmen, der eine Gleichung im Absatztext enthält, als ein Zeichen und erzeugt kein zusätzliches Leerzeichen um ihn herum.
Überschreitet die Gleichung die Zeilenhöhe, können Sie Platz über oder unter der Gleichung schaffen. Deaktivieren Sie in der Formatierungsleiste im Popupmenü Zeilenabstand den festen Zeilenabstand.
Klicken Sie in einen leeren Absatz.
Wenden Sie ein Absatzformat aus dem Absatzformatkatalog an, oder richten Sie Ihr eigenes Format ein. Die Ausrichtung, der vertikale Wortabstand und eventuelle automatische Nummerierungen für den die Gleichung enthaltenden Absatz werden durch das Absatzformat bestimmt.
Klicken Sie auf die Schaltfläche Gleichung
auf der rechten Seite des Dokumentenfensters.
Wählen Sie im Pod „Gleichungen“ im Popupmenü „Gleichungen“ einen der Befehle „Neue Gleichung“. Die Optionen Klein, Normal und Groß geben die Schriftgröße der neuen Gleichung an.
Unterhalb des leeren Absatzes wird ein neues Gleichungsobjekt in Form eines Fragezeichens innerhalb eines verankerten Rahmens eingefügt. Dieses Fragezeichen wird durch das erste von Ihnen eingegebene FrameMath-Element ersetzt.

Fügen Sie die FrameMath-Elemente in die Gleichung ein, indem Sie diese manuell eingeben oder auf die gewünschten Elemente im Pod „Gleichungen“ klicken.

Wählen Sie im Popupmenü „Gleichung“ die Option „Gleichung einpassen“. Durch diese Option wird der Rahmen um die Gleichung verkleinert und die Gleichung in den leeren Absatz eingefügt.

Klicken Sie auf die Schaltfläche Gleichung
auf der rechten Seite des Dokumentenfensters.
Wählen Sie einen Grafikrahmen oder ein Objekt in einem Grafikrahmen.
Wählen Sie im Pod „Gleichungen“ im Popupmenü „Gleichungen“ einen der Befehle „Neue Gleichung“. Die Optionen Klein, Normal und Groß geben die Schriftgröße der neuen Gleichung an.
Ein neues Gleichungsobjekt wird als Fragezeichen in einem Rahmen angezeigt. Dieses Fragezeichen wird durch das erste von Ihnen eingegebene FrameMath-Element ersetzt.

Fügen Sie die mathematischen Elemente in die Gleichung ein, indem Sie diese manuell eingeben oder im Pod Gleichungen auf Elemente klicken.
Um die Gleichung genau an der gewünschten Position zu platzieren, wählen Sie die Gleichung zunächst aus, indem Sie bei gedrückter Strg-Taste darauf klicken.
Führen Sie zum Verschieben einer Tabelle einen der folgenden Schritte aus:
Ziehen Sie diese mit der Maus.
Verschieben Sie die Gleichung mithilfe der Pfeiltasten.
Verwenden Sie den Befehl , um die Gleichung genau zu positionieren.
Wissen Sie, wie mathematische Elemente und mathematische Ausdrücke einfügen, kennen Sie den Umfang der Operationen in FrameMaker.
Eine Gleichung enthält aus FrameMath-Elementen bestehende Ausdrücke – Zeichen, Zeichenfolgen, Operatoren und andere mathematische Elemente aus dem Pod Gleichungen.

A. Alphanumerisches Zeichen B. Textzeichenfolge C. Ausdruck D. Operator
Nach der Erstellung eines Gleichungsobjekts fügen Sie FrameMath-Elemente ein, indem Sie diese manuell eingeben oder im Pod Gleichungen darauf klicken. Der Pod Gleichungen kann geschlossen werden, wenn Sie ein Element über die Tastatur eingeben.
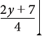
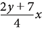
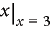
Wenn Sie ein FrameMath-Element in eine Gleichung einfügen, korrigiert FrameMaker die mathematische Syntax. Das Ergebnis hängt vom Wirkungsbereich der Operation ab, d. h. von der Auswahl oder von der Position der Einfügemarke. Wenn Sie z. B. x in einen Bruch eingeben, hängt das Ergebnis davon ab, ob der Zähler, der Nenner oder der ganze Bruch ausgewählt ist.
Multiplikation mit x |
Ergebnis |
|---|---|
|
|
|
|
|
|
Im ersten Beispiel wird lediglich die 7 mit x multipliziert. Im zweiten Beispiel fügt FrameMaker runde Klammern hinzu, um anzuzeigen, dass der gesamte Ausdruck 2y + 7 mit x multipliziert wird. Im letzten Beispiel wird der gesamte Bruch mit x multipliziert. Die Größe der Einfügemarke im ersten und letzten Beispiel zeigt den Wirkungsbereich an.
Zahlreiche Fehler in Gleichungen resultieren aus einem fehlerhaften Wirkungsbereich, der beim Einfügen eines Elements entweder zu gering oder zu groß bemessen wurde. Gehen Sie bei der Auswahl des gewünschten Bereichs sorgfältig vor, bevor Sie ein Element einfügen.
Wählen Sie einen Ausdruck aus oder platzieren Sie die Einfügemarke in einer Gleichung.
Führen Sie einen der folgenden Schritte aus:
Klicken Sie zum Einfügen eines FrameMath-Elements auf das Pod Gleichungen auf das Element.
Wenn Sie ein alphanumerisches Zeichen bzw. ein Symbol über die Tastatur einfügen möchten, geben Sie es ein. Sie können runde Klammern, eckige Klammern, Plus-, Gleichheitszeichen usw. eingeben. Wenn Sie eine offene runde Klammer eingeben, fügt FrameMaker die schließende Klammer ein.
Um ein Element in einem Dialogfeld einzugeben, geben Sie einen umgekehrten Schrägstrich ( \ ) gefolgt von der das Element definierenden Zeichenfolge ein und drücken die Eingabetaste. Um z. B. das Unendlichkeitssymbol einzufügen,
geben Sie \infty ein und drücken Sie die Eingabetaste.
Einfügen eines speziellen FrameMath-Elements.
Wenn für ein Element ein oder mehrere Operanden benötigt werden, wird für jeden Operanden ein Fragezeichen angezeigt;
Ist kein Operand erforderlich, sehen Sie die Einfügemarke. Drücken Sie die Tabulatortaste, um von einem Operanden zum nächsten zu wechseln.
Eine Textfolge ist eine Folge von Zeichen, die als Einheit interpretiert wird. Im Unterschied zu Zeichen, die einen Ausdruck darstellen, werden Zeichen in einer Zeichenfolge in der Regel nicht kursiv dargestellt und nicht miteinander multipliziert.

Zeichenfolgen besitzen keine mathematische Bedeutung in FrameMaker. So kann z. B. mit Berechnungsbefehlen die Funktion tan, nicht aber die Zeichenfolge „tan“ berechnet werden.
Klicken Sie auf der Seite „Symbole“ des Pods Gleichungen auf Zeichenfolge starten Es werden zwei doppelte Anführungszeichen ( " " ) angezeigt. Sie können zum Beginnen der Zeichenfolge auch einen Apostroph ( ' ) oder doppelte Anführungszeichen (") eingeben.
Geben Sie den Text der Zeichenfolge ein. Die Anführungszeichen werden ausgeblendet und der Text wird in der eingegebenen Form angezeigt. Wenn Sie einen geraden Apostroph oder gerade Anführungszeichen als Teil der Zeichenfolge eingeben möchten, halten Sie beim Drücken der betreffenden Taste die Strg-Taste gedrückt.
Klicken Sie auf Zeichenfolge beenden auf der Seite Symbole, oder drücken Sie die Eingabetaste.
Ein Gleichungsobjekt beinhaltet in der Regel eine Gleichung oder einen Ausdruck. Sie können jedoch eine horizontale oder vertikale Liste einrichten, in der mehrere Ausdrücke im selben Objekt enthalten sind. Wenn Sie eine Liste auswählen, werden alle Ausdrücke in der Liste als ein Objekt ausgewählt.

A. Horizontale Liste B. Vertikale Liste ausgerichtet an Gleichheitszeichen
FrameMaker richtet die Ausdrücke in der Liste automatisch aus. Wenn Sie die Liste verschieben, behalten alle Ausdrücke ihre relative Position.
Wählen Sie den Ausdruck aus, der das erste Element in der Liste sein soll oder den Sie der Liste hinzufügen möchten.
Klicken Sie im Pod „Gleichungen“ auf der Seite „Operatoren“ auf das horizontale Listenelement
oder vertikale Listenelement
angezeigt. Um ein FrameMath-Element hinzuzufügen, geben Sie die Elemente manuell ein, oder Klicken Sie im Pod Gleichungen auf die Elemente. Eine horizontale bzw. vertikale Liste wird angezeigt. Der ausgewählte Ausdruck erscheint als erstes Element in der Liste. Ein zweites Element wird in der Liste als Fragezeichen angezeigt.
Vor dem Klicken |
Nach dem Klicken |
|---|---|
|
|
|
|
|
|
Im ersten Beispiel wird eine horizontale Liste eingefügt. Im zweiten Beispiel wird eine vertikale Liste eingefügt und der ausgewählte Ausdruck wird zum ersten Element in der Liste. Im letzten Beispiel wird eine vertikale Liste als Teil eines größeren Ausdrucks eingefügt.
Die Seite „Symbole“ des Pods „Gleichungen“ enthält das griechische Alphabet, sonstige Symbole und diakritische Zeichen.
Griechische Buchstaben, die Entsprechungen im lateinischen Alphabet besitzen, wie z. B. das große Alpha (A), sind auf der Seite „Symbole“ nicht enthalten. Die folgenden Beispiele zeigen, wie sich das Klicken auf das
auf der Seite „Symbole“ auswirkt.
Vor dem Klicken |
Nach dem Klicken |
|---|---|
|
|
|
|
Diakritische Zeichen werden auf dem Element links neben der Einfügemarke oder auf dem gewählten Ausdruck angezeigt. Klicken Sie einmal auf jedes diakritische Zeichen, das Sie einfügen möchten.
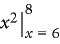
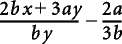
Die Seite „Operatoren“ des Pods „Gleichungen“ enthält häufig verwendete Operatoren, Wurzeln, Exponenten, Vorzeichen, Tiefstellungen, Hochstellungen und logische Symbole.
Wenn ein Ausdruck beim Einfügen eines Operators ausgewählt ist, wird er zum ersten Operanden. Die folgenden Beispiele zeigen, wie sich das Klicken auf das Pluszeichen
oder auf das Divisionszeichen
auf der Seite „Operatoren“ auswirkt.
Vor dem Klicken |
Nach dem Klicken |
|---|---|
|
|
|
|
|
|
Mögliche Schreibweisen für das Divisionszeichen sind Schrägstrich (/), horizontaler Strich
oder Divisionszeichen
.
FrameMaker kann Exponenten mathematisch auswerten, nicht jedoch hochgestellten Text.

A. Hochgestellt B. Exponent
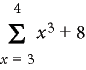
Die Seite „Groß“ des Pods „Gleichungen“ enthält Summen, Produkte, Integrale, Schnittmengen und Vereinigungsmengen.
Wenn ein Ausdruck beim Einfügen eines großen Elements ausgewählt ist, wird er zum ersten Operanden. Die folgenden Beispiele zeigen, welches Ergebnis das Klicken auf das Summensymbol
auf der Seite „Groß“ hat.
Vor dem Klicken |
Nach dem Klicken |
|---|---|
|
|
|
|
Sie können nach dem Einfügen eines FrameMath-Elements von der Seite „Groß“ einen Operanden hinzufügen.
Die Seite „Klammern“ enthält Trennzeichen wie runde, eckige und geschweifte Klammern.
Wenn beim Einfügen eines Klammerpaares ein Ausdruck ausgewählt ist, wird dieser zwischen die Klammern platziert. Das folgende Beispiel zeigt, welches Ergebnis das Klicken auf die Klammern der Seite „Klammern“ hat.
Vor dem Klicken |
Nach dem Klicken |
|---|---|
|
|
|
|
Sie können runde Klammern auch als eckige ([ ]) oder geschweifte ({ }) Klammern darstellen.
Die Relationsseite enthält Relationssymbole wie =, <, >,
,
,
,
, und
.
Alle Relationssymbole, außer dem binären Gleichheitszeichen
gelten für das Zeichen links oder rechts des Eingabepunkts oder für die Auswahl. Wenn Sie ein Relationssymbol zwischen multiplizierten Elementen einfügen, wirkt sich dieses auf die Elemente auf beiden Seiten der Einfügemarke aus.
Binäre Gleichheitszeichen
werden rechts neben dem aktuellen Ausdruck (wie im zweiten Beispiel) angezeigt. Wenn die Einfügemarke oder die Auswahl tief- oder hochgestellt formatiert ist, wird das Gleichheitszeichen tief- oder hochgestellt angezeigt.
Vor dem Klicken |
Nach dem Klicken |
|---|---|
|
|
|
|
|
|
Drücken Sie Esc m =
Vor dem Klicken |
Nach dem Klicken |
|---|---|
|
|
Die Seite „Analysis“ enthält Integrale, Ableitungen, partielle Ableitungen, Gradienten und die Limes-Funktion.
Wenn ein Ausdruck beim Einfügen eines Analysiselements ausgewählt ist, wird er zum ersten Operanden. Die folgenden Beispiele zeigen die Ergebnisse beim Klicken auf das Integralzeichen
auf der Seite „Analysis“.
Vor dem Klicken |
Nach dem Klicken |
|---|---|
|
|
|
|
Sie können die Position von Operanden ändern und Operanden hinzufügen.
Die Seite „Matrizen“ enthält Elemente für Matrizen in den Größen 1 mal 1 bis 3 mal 3. Sie können einer Matrix nach ihrer Erstellung Zeilen und Spalten hinzufügen.
Wenn ein Ausdruck beim Einfügen eines Matrizenelements ausgewählt ist, wird der Ausdruck zur ersten Zelle in der Matrix.
Vor dem Klicken |
Nach dem Klicken |
|---|---|
|
|
|
|
Die Seite „Funktionen“ enthält trigonometrische, hyperbolische und logarithmische Funktionen sowie die Funktionen Signum, Limes und allgemeine Funktionen.
FrameMaker fügt Funktionen an der Einfügemarke oder an der Auswahl ein. Wenn ein Ausdruck ausgewählt ist, wird er zum Argument der Funktion (außer für die Limes-Funktion und die allgemeinen Funktionen
und
angezeigt. Das folgende Beispiel zeigt, welches Ergebnis das Klicken auf die Funktion „Sinus“ auf der Seite „Funktionen“ hat.
Vor dem Klicken |
Nach dem Klicken |
|---|---|
|
|
|
|
Zusätzlich zu den in FrameMaker enthaltenen FrameMath-Elementen können Sie für ein Dokument definierte FrameMath-Elemente einfügen.
Spezielle FrameMath-Elemente besitzen in FrameMaker keine mathematische Bedeutung. Ein spezielles FrameMath-Element für einen Operator wird in einer Gleichung als Operator behandelt. Es kann jedoch von FrameMaker nicht berechnet werden.
Wählen Sie im Pod Gleichungen die Option FrameMath-Element einfügen aus dem Popupmenü Gleichungen.
Wählen Sie den Namen des Elements aus und klicken Sie auf Einfügen.
Verstehen Sie das Einpassen und Auspacken einer Gleichung in FrameMaker.
Beim Einpassen einer Gleichung wird der umgebende verankerte Rahmen so verkleinert, dass er die Gleichung exakt umgibt. Die Ankerposition des Rahmens wird an die Einfügemarke verschoben und die Einfügemarke selbst wird hinter dem Rahmen positioniert.


Passen Sie eine Gleichung ein, nachdem Sie diese fertiggestellt haben, sodass sie nur den mindestens erforderlichen Platz einnimmt und an der Grundlinie des umgebenden Textes ausgerichtet wird. Legen Sie eine Gleichung frei, um den verankerten Rahmen für eine leichtere Bearbeitung zu vergrößern.
Klicken Sie auf die Gleichung oder wählen Sie ihren Rahmen aus.
Wählen Sie im Pod „Gleichungen“ im Popupmenü „Gleichung“ die Option „Gleichung einpassen“ oder „Gleichung freilegen“. Die Kanten einer eingepassten Gleichung werden in manchen Fällen nicht auf dem Bildschirm angezeigt. Sie sind jedoch im gedruckten Dokument enthalten.
Erfahren Sie, wie Sie eine Gleichung bearbeiten, Trennzeichen entfernen, mit Elementformaten und Matrizen in FrameMaker arbeiten.
Sie können eine Gleichung auf die gleiche Weise bearbeiten wie Text. Sie können FrameMath-Elemente hinzufügen, ändern, neu anordnen und entfernen sowie Gleichungen ausschneiden, kopieren und einfügen. Wenn Sie eine Gleichung bearbeiten, wird die Syntax der Gleichung bei Bedarf angepasst.
Sie können Matrizen ändern – Zeilen und Spalten hinzufügen oder löschen, Klammern löschen sowie die Zeilenhöhe und Spaltenbreite ändern. Sie können auch zwischen unterschiedlichen Darstellungen für einige FrameMath-Elemente, wie Klammern, wählen. Sie können einigen Elementen Operanden hinzufügen, wie Integrale und Summen.
Wenn Ihre Gleichung eingepasst wurde, legen Sie diese vor der Bearbeitung frei. Dadurch wird der verankerte Rahmen wieder in voller Größe angezeigt und Sie haben mehr Platz für die Bearbeitung zur Verfügung.
Drücken Sie die Leertaste. Die Auswahl wird zur Aufnahme des nächsthöheren Ausdrucks erweitert. Das folgende Beispiel zeigt, welches Ergebnis das wiederholte Drücken der Leertaste erzeugt.
Ursprüngliche Auswahl |
|
Nach einmaligem Drücken |
|
Nach zweimaligem Drücken |
|
Führen Sie eine der folgenden Aktionen aus:
Um die Auswahl nach rechts auf den nächsten Teilausdruck zu verlagern, drücken Sie die Nach-Rechts-Taste.
Um die Auswahl nach links auf den nächsten Teilausdruck zu verlagern, drücken Sie die Nach-Links-Taste.
Um die Auswahl zum nächsten Fragezeichen zu verlagern, drücken Sie die Tabulatortaste.
Wählen Sie das Element, das Sie löschen möchten, und drücken Sie die Entf-Taste. Das Element wird durch ein Fragezeichen ersetzt.
Führen Sie eine der folgenden Aktionen aus:
Klicken Sie zum Ersetzen eines Elements auf den Pod Gleichungen, oder geben Sie die Ersetzung manuell ein.
Um das Element zu löschen, drücken Sie erneut die Entf-Taste. FrameMaker entfernt alle nicht mehr benötigten Elemente, wie Pluszeichen oder Klammern.
Halten Sie die Strg-Taste gedrückt, um die Gleichung auszuwählen, und drücken Sie die Entf-Taste.
Nach der Eingabe oder Bearbeitung einer Gleichung können zusätzliche Klammern vorhanden sein – runde, geschweifte oder eckige Klammern. Sie können diese zusätzlichen Klammern entfernen. Wenn Sie jedoch später Rechenbefehle verwenden, wertet FrameMaker die Gleichung so aus, als ob die Klammern noch vorhanden wären.
Um alle Klammern zu entfernen, wählen Sie den Ausdruck aus. Klicken Sie auf der Seite Trennzeichen auf den Pod Gleichungen, klicken Sie auf Klammern entfernen.
Vor dem Klicken |
Nach dem Klicken |
|---|---|
|
|
Um eine Klammer zu entfernen, platzieren Sie die Einfügemarke rechts neben die Klammer und drücken die Entf-Taste. Wenn die Klammer eine Entsprechung besitzt, wie die linke Klammer zwischen a und b im folgenden Beispiel, wird diese ebenfalls entfernt.
Vorher |
Nachher |
|---|---|
|
|
Einige FrameMath-Elemente können auf unterschiedliche Arten dargestellt werden. Formate für Trennzeichen sind beispielsweise
,
, oder
angezeigt. Mögliche Schreibweisen für Divisionszeichen sind
,
, oder
.
Markieren Sie das gesamte Element.
Klicken Sie auf der Seite Operatoren, Groß, Trennzeichen oder Berechnung auf den Pod Gleichungen, klicken Sie auf Format umschalten. Der Befehl ist auf allen vier Seiten identisch und funktioniert für jedes Element mit mehreren Formaten. Möglicherweise müssen Sie mehrmals klicken, um das gewünschte Format zu erhalten.
Wurzel- und Gradientzeichen sowie Logarithmen können einen oder zwei Operanden haben. Integrale und andere Zeichen auf den Seiten „Groß“ und „Analysis“ können einen, zwei oder drei Operanden haben.

Sie können diesen Elementen Operanden hinzufügen, ohne noch einmal von vorne beginnen zu müssen.
Klicken Sie auf den Ausdruck mit dem Element oder wählen Sie einen beliebigen Teil des Ausdrucks aus.
Klicken Sie auf der Seite „Groß“ oder „Analysis“ auf Neuer Operand. Ein Fragezeichen wird an der Stelle des einzufügenden Operanden angezeigt.
Sie können die Anzahl der Zeilen und Spalten in einer Matrix ändern und eckige Klammern um die Matrix hinzufügen oder entfernen. Außerdem können Sie die Breite der Spalten je nach Inhalt variieren oder allen Spalten dieselbe Breite zuweisen. Auch die Zeilenhöhe kann von Zeile zu Zeile unterschiedlich festgelegt werden.
Sie können eine Matrix auch transponieren und algebraische Operationen ausführen.
Um einer Matrix eine Zeile oder eine Spalte hinzuzufügen, platzieren Sie die Einfügemarke in die Matrix. Wählen Sie auf der Seite „Matrizen“ im Pod Gleichungen die Option Zeile hinzufügen oder Spalte hinzufügen aus dem Popupmenü Matrizenbefehle.
Vor „Neue Spalte“ |
Nach „Neue Spalte“ |
|---|---|
|
|
Mit „Neue Zeile“ fügen Sie eine Zeile am unteren Ende hinzu.
Mit „Neue Spalte“ fügen Sie eine Spalte auf der rechten Seite hinzu.
Um eine Zeile oder eine Spalte aus einer Matrix zu löschen, wählen Sie die Zeile oder Spalte aus und drücken die Entf-Taste.
Um eckige Klammern um eine Matrix hinzuzufügen oder sie zu entfernen, wählen Sie die gesamte Matrix aus. Klicken Sie im Pod Gleichungen auf der Seite „Matrizen“ auf Klammern hinzufügen/entfernen.
Um die Zeilenhöhe oder Spaltenbreite in einer Matrix zu ändern, wählen Sie die Matrix aus. Wählen Sie im Pod Gleichungen auf der Seite „Matrizen“ im Popupmenü Höhe der Matrixzeile oder Breite der Matrixzeile die Option Gleichmäßig oder Proportional.

Wenn Sie Proportional wählen, ist jede Zeile so hoch wie die höchste Zelle der Zeile. Jede Spalte ist so breit wie die breiteste Zelle in der Spalte.
Wenn Sie Gleichmäßig wählen, ist jede Zeile so hoch wie die höchste Zeile der gesamten Matrix. Jede Spalte ist so breit wie die breiteste Zelle in der gesamten Matrix.
Kennen Sie mathematische Elementtypen, ändern Sie integrierte mathematische Elemente, definieren Sie benutzerdefinierte mathematische Elemente in FrameMaker.
Wenn Sie ein Math-Element benötigen, das sich nicht im Pod „Gleichungen“ befindet, können Sie ein eigenes spezielles Element definieren, beispielsweise einen neuen Operator wie ![]()
angezeigt. FrameMaker kann jedoch spezielle FrameMath-Elemente nicht mathematisch auswerten.
Um ein integriertes Element des Pods in einem Dokument verändert anzuzeigen, können Sie das Element neu definieren. Sie können beispielsweise die Funktion asin (inverser Sinus) derart neu definieren, dass sie als sin–1 angezeigt wird. Sie können die Darstellungsweise eines integrierten Elements neu definieren, jedoch nicht seinen Typ ändern.
Sie können auch FrameMath-Elementdefinitionen aus anderen Dokumenten importieren.
Die Definitionen spezieller FrameMath-Elemente werden auf einer oder mehreren Referenzseiten gespeichert, deren Namen mit FrameMath beginnen. Jede Definition ist eine Textzeile in einem unverankerten Grafikrahmen, dessen Name dem Namen des Elements entspricht.

A Grafikrahmen B. Textzeile
Der Typ eines FrameMath-Elements bestimmt, wie sich das Element in Bezug auf andere Elemente in seiner Umgebung verhält. Ein Pluszeichen (+) ist z. B. vom Typ „Einfügung“, d. h., es hat immer zwei Operanden, einen auf der rechten und einen auf der linken Seite.
Sie können spezielle FrameMath-Elemente der folgenden Typen definieren.
Eingabe |
Beispiel |
Anzahl der Operanden |
|---|---|---|
Atom |
|
Keine |
Klammern |
|
Einer |
Funktion |
|
Einer, rechts des Elements |
Einfügung |
|
Zwei, links und rechts des Elements |
Groß |
|
Bis zu drei, oberhalb, unterhalb und rechts des Elements |
Grenzwert |
|
Bis zu zwei, unterhalb und rechts des Elements |
Präfix |
|
Einer, links des Elements |
Suffix |
|
Einer, rechts des Elements |
Vertikale Liste |
|
Zwei, einer über dem anderen (Die Textzeile, die eine spezielle vertikale Liste definiert, wird als Trennlinie zwischen Listenelementen verwendet.) |
Sie können keine speziellen FrameMath-Elemente der folgenden Typen definieren.
Eingabe |
Beispiel |
|---|---|
Ableitung |
|
Diakritische Zeichen |
|
Horizontale Liste |
|
Matrix |
|
Wurzel |
|
Skript |
|
Substitution |
|
Bruch |
|
Wählen Sie , und zeigen sie eine FramMath-Referenzseite an.
Wenn das Dokument keine FrameMath-Referenzseite enthält, zeigen Sie eine Referenzseite an, und wählen Sie dann . Nennen Sie die neue Seite „FrameMath1“. Verwenden Sie die Großbuchstaben F und M wie gezeigt.
Zeichnen Sie mit dem Grafikrahmen-Werkzeug einen unverankerten Grafikrahmen auf der Seite.
Geben Sie im Dialogfeld „Rahmenname“ einen Namen für das FrameMath-Element ein. Wenn Sie ein integriertes Element ändern möchten, geben Sie den Namen des betreffenden Elements ein.
Fügen Sie mit dem Textzeilen-Werkzeug eine Textzeile im Grafikrahmen hinzu.
Erstellen Sie in der Textzeile das FrameMath-Element und beachten Sie dabei folgende Regeln:
Sie können beliebige Zeichen in die Textzeile eingeben und das Zeichenformat ändern. Sie können die Zeichen auch mithilfe von Kurzbefehlen zur Feinpositionierung verschieben.
Für alle FrameMath-Elemente, mit Ausnahme von Klammern, wird in der Textzeile lediglich das mathematische Symbol dargestellt, nicht der Operand. Wenn Sie das Element später in einer Gleichung einfügen, fügt FrameMaker die Operanden entsprechend des Typs des FrameMath-Elements an der geeigneten Stelle ein. Ein großes Element, wie ein Summen- oder ein Integralzeichen, besitzt beispielsweise bis zu drei Operanden: einen oberhalb, einen unterhalb und einen rechts vom Symbol.
Ein spezielles Trennzeichen kann nur einen Operanden enthalten, auch wenn einige integrierte Trennzeichen bis zu drei enthalten. Fügen Sie ein Leerzeichen in die Textzeile ein, um die Position des Operanden anzuzeigen. Wenn Sie kein Leerzeichen in die Textzeile einfügen, fügt FrameMaker den Operanden zwischen zwei Kopien des Trennzeichens ein.

FrameMaker verwendet die erste Textzeile im Rahmen für das spezielle FrameMath-Element. Stellen Sie daher sicher, dass sich innerhalb des Rahmens nur eine Textzeile befindet.
Wählen Sie den Grafikrahmen aus.
Wählen Sie im Pod Gleichungen die Option Definition zu Katalog hinzufügen im Popupmenü Gleichungen.
Wenn Sie ein benutzerdefiniertes FrameMath-Element definieren, wählen Sie einen Elementtyp aus dem Popupmenü, und klicken Sie auf Hinzufügen.
Setzen Sie die Einfügemarke in eine Gleichung.
Wählen Sie im Pod Gleichungen die Option Math-Element einfügen aus dem Popupmenü Gleichungen.
Deaktivieren Sie „Nur Spezialelemente anzeigen“ und blättern Sie durch die Elementnamen.
Klicken Sie auf Abbrechen.
Zeigen Sie die FrameMath-Referenzseite an, die das FrameMath-Element enthält. Führen Sie dazu einen der folgenden Schritte aus:
Wenn das spezielle FrameMath-Element zu einer Gleichung gehört, wählen Sie zunächst das Element und danach im Pod „Gleichungen“ im Popupmenü „Gleichung“ die Option „Definition aktualisieren“. Klicken Sie anschließend auf Zu Rahmen wechseln.
Wenn Sie das benutzerdefinierte FrameMath-Element nicht in eine Gleichung eingefügt haben, wählen Sie . Zeigen Sie anschließend die gewünschte FrameMath-Referenzseite an.
Führen Sie eine der folgenden Aktionen aus:
Bearbeiten Sie die Textzeile, die das FrameMath-Element enthält. Wenn Sie eine Arbeitsseite erneut anzeigen, verwendet FrameMaker die veränderte Definition und passt die Gleichungen erneut ein.
Löschen Sie den Grafikrahmen. Wenn das Element in einer Gleichung verwendet wird, zeigt FrameMaker anstatt des Elements den Elementnamen umgeben von Fragezeichen an.
FrameMaker positioniert FrameMath-Elemente entsprechend ihrer mathematischen Bedeutung in einer Gleichung. In manchen Fällen kann jedoch eine Feinpositionierung von Elementen erforderlich sein, um den optimalen Abstand zwischen den Elementen in der Gleichung zu erreichen.

Sie können auch den Abstand auf jeder Seite des Elements festlegen.

A. Standardabstand B. Größerer Abstand links und rechts C. Kein Abstand links und rechts
Führen Sie auf der Seite „Positionierung“ im Pod Gleichungen einen der folgenden Schritte durch:
Um einen ausgewählten Ausdruck zu positionieren, klicken Sie auf einen Feinpositionierungspfeil. Klicken Sie so häufig wie erforderlich. Jedes Klicken verlagert einen Ausdruck am Bildschirm um ein Pixel. Vergrößern Sie die Ansicht für eine höhere Präzision.

Um die Feinpositionierung zu entfernen, klicken Sie in der Mitte des Bereichs „Feinpositionierung“ auf die Schaltfläche
.
Um die Abstände zu überprüfen und per Angabe von numerischen Werten anzupassen, klicken Sie auf Positionseinstellungen. Die exakten Abstände werden im Dialogfeld „Positionierung von FrameMath-Elementen“ im Bereich „Abstand bei Feinpositionierung“ angezeigt. Geben Sie die entsprechenden Werte im Bereich „Abstand bei Feinpositionierung“ ein und klicken Sie auf Zuweisen.
Klicken Sie auf ein Pluszeichen (+), um den Abstand zu vergrößern, bzw. auf ein Minuszeichen (–), um den Abstand zu verkleinern. Klicken Sie so häufig wie erforderlich. Durch jedes Klicken wird ein Abstands-Pixel hinzugefügt oder entfernt. Vergrößern Sie die Ansicht für eine höhere Präzision.
Um Abstandswerte anzupassen, klicken Sie auf Positionseinstellungen. Die exakten Abstände werden im Bereich „Abstand“ des Dialogfelds „Positionierung von FrameMath-Elementen“ angezeigt. Geben Sie zum Anpassen der Abstandswerte die entsprechenden Werte im Bereich „Abstand“ ein und klicken Sie auf Zuweisen. Um die Standardabstandswerte wiederherzustellen, klicken Sie in der Mitte des Bereichs „Feinpositionierung“ auf die Schaltfläche
.
Einige Definitionen von FrameMath-Elementen („Einfügung“, „Präfix“, „Suffix“, „Groß“, „Hoch-/Tiefstellung“ und „Bruch“) können mit neuen Abständen aktualisiert werden. FrameMaker passt den Abstand um das Element bei jedem Auftreten im Dokument an und passt die Gleichungen neu ein.
Sie können auch den Zeichenabstand in allen kleinen, mittleren und großen Gleichungen gleichmäßig ändern.
Markieren Sie das Element, nachdem Sie den Abstand um das Element in einer Gleichung angepasst haben.
Wählen Sie im Pod Gleichungen die Option Definition aktualisieren aus dem PopupmenüGleichungen.
Führen Sie eine der folgenden Aktionen aus:
Um den Abstand für das Element im gesamten Dokument zu ändern, klicken Sie auf Aktualisieren.
Wenn Sie den Standardabstand wiederherstellen möchten, klicken Sie auf Standard abrufen.
Wissen Sie, wie Linienumbrüche definiert und Gleichungen entlang eines Punkts in einem Frame oder in einer Liste in FrameMaker ausgerichtet werden.
Sie können festlegen, wann ein Zeilenumbruch innerhalb einer Gleichung auftreten soll und wie die Zeilen in einer mehrzeiligen Gleichung oder die Elemente in einer Liste oder Matrix ausgerichtet werden sollen. Sie können auch mehrere Gleichungen aneinander ausrichten, selbst wenn sie in unterschiedlichen Rahmen platziert sind.

Gleichungsobjekte werden genauso wie andere Objekte bearbeitet. Sie können Elemente in einer vertikalen Liste und Zeilen in einer mehrzeiligen Gleichung automatisch und manuell ausrichten. Die manuell eingegebenen Ausrichtungspunkte setzen die automatische Ausrichtung außer Kraft.

Die Elemente einer horizontalen Liste können an ihren oberen und unteren Rändern und an ihren Grundlinien ausgerichtet werden.

Die Zellen in den einzelnen Matrixzeilen können an ihren oberen und unteren Rändern und an ihren Grundlinien ausgerichtet werden. Die Zellen in jeder Spalte können rechtsbündig, linksbündig, zentriert oder am Gleichheitszeichen ausgerichtet werden.

A. Grundlinien B. Mitte
Wenn eine Gleichung in mehrere Zeilen umbrochen wird, bleibt sie in einem einzigen verankerten Rahmen. Sie können festlegen, wo die Zeilen in der Gleichung automatisch umbrochen werden. Wenn Sie die Zeilenlänge für den Umbruch ändern, wird die Gleichung entsprechend der neuen Breite neu formatiert.


Sie können einen Zeilenumbruch an einer bestimmten Position in der Gleichung erzwingen. Verwenden Sie den manuellen Zeilenumbruch jedoch nicht zur Erstellung von separaten Gleichungen. Fügen Sie stattdessen eine vertikale Liste mit Ausdrücken ein.
Für Änderungen an den einzelnen Zeilenumbrüchen stehen Ihnen folgende Möglichkeiten zur Verfügung:
Um die automatische Zeilenlänge für den Umbruch zu ändern, klicken Sie in die Gleichung oder wählen Sie einen Teil der Gleichung aus. Wählen Sie . Bearbeiten Sie den Wert im Feld Automatischer Zeilenumbruch nach und klicken Sie auf Zuweisen. Der Wert ist auf die Rahmenbreite der Gleichung voreingestellt.

Um einen manuellen Zeilenumbruch zu entfernen, wählen Sie den Teil der Gleichung aus, in dem sich das Symbol für den Zeilenumbruch befindet. Wählen Sie auf der Seite Positionierung im Pod Gleichungen die Option Manuell löschen im Popupmenü Zeilenumbruch.
Die Ausrichtung einer freigestellten Gleichung (linksbündig, zentriert, rechtsbündig) wird vom Format des Absatzes bestimmt, in dem sie sich befindet.

Klicken Sie in den Absatz, der die Gleichung enthält (jedoch nicht auf die Gleichung selbst).
Wählen Sie die Ausrichtung aus dem Popupmenü Ausrichtung in der Formatierungsleiste oder in der Absatzgestaltung.
Klicken Sie in die Gleichung oder Liste.
Wählen Sie im Pod „Gleichungen“ auf der Seite „Positionierung“ im Popupmenü „Links/Rechts“ einen Eintrag aus. Wenn Sie Links von = oder Rechts von = auswählen, werden die Zeilen an einer Seite des Gleichheitszeichens ausgerichtet. Eine Zeile ohne Gleichheitszeichen wird am linken Rand ausgerichtet.
Führen Sie eine der folgenden Aktionen aus:
Klicken Sie in die erste Zeile einer mehrzeiligen Gleichung auf den Punkt, an dem die nachfolgenden Zeilen ausgerichtet werden sollen.
Klicken Sie auf den Punkt eines Elements in einer vertikalen Liste, an dem der übrige Teil der Liste ausgerichtet werden soll.
Wählen Sie im Pod „Gleichungen“ auf der Seite „Positionierung“ im Popupmenü „Links/Rechts“ die Option „Manuell einstellen“. Ein manuelles Ausrichtungssymbol
wird an der Einfügemarke angezeigt, wenn die Anzeige der Steuerzeichen aktiviert ist. Die folgenden Zeilen einer mehrzeiligen Gleichung werden linksbündig an dem manuellen Ausrichtungspunkt ausgerichtet. Elemente in vertikalen Listen werden mit anderen Elementen in der Liste an dem manuellen Ausrichtungspunkt ausgerichtet.
Wählen Sie den Teil der Gleichung aus, der den manuellen Ausrichtungspunkt enthält.
Wählen Sie im Pod „Gleichungen“ auf der Seite „Positionierung“ im Popupmenü „Links/Rechts“ die Option „Manuell löschen“. Sie können einen manuellen Ausrichtungspunkt auch löschen, indem Sie einen anderen festlegen.
Klicken Sie in die Liste.
Wählen Sie auf der Seite Positionierung im Pod Gleichungen ein Element aus dem Popupmenü Oben/Unten.
Klicken Sie in die Matrix.
Wählen Sie im Pod „Gleichungen“ auf der Seite „Positionierung“ im Popupmenü „Oben/Unten“ oder „Links/Rechts“ ein Element. Die Befehle Links/Rechts und Oben/Unten wirken sich auf die gesamte Matrix aus. Zur Ausrichtung von einzelnen Zellen verwenden Sie die Feinpositionierung.
Führen Sie zur Auswahl der Gleichung einen der folgenden Schritte aus:
Ziehen Sie den Zeiger über die Liste oder die Matrix.
Platzieren Sie die Einfügemarke in der Matrix und drücken Sie wiederholt die Leertaste.
Klicken Sie auf der Seite Positionierung im Pod Gleichungen auf Positionierungseinstellung.
Sie können auf die gleiche Weise, wie Sie andere Objekte ausrichten, mehrere Gleichungsobjekte in einem Grafikrahmen aneinander ausrichten. Sie können auch unterschiedliche Gleichungsobjekte an einem manuellen Ausrichtungspunkt ausrichten, auch wenn sie sich in unterschiedlichen Grafikrahmen befinden.

FrameMaker behält die Ausrichtung der Gleichungsobjekte bei, wenn die Gleichungen bearbeitet werden. Wenn z. B. zwei Gleichungen linksbündig ausgerichtet sind und sich die Länge der Gleichungen ändert, wird die linksbündige Ausrichtung beibehalten.
Wählen Sie die Gleichungen aus, die ausgerichtet werden sollen, indem Sie bei gedrückter Strg-Taste auf die erste Gleichung klicken und dann bei gedrückter Strg- und Umschalttaste auf die anderen Gleichungen klicken.
Stellen Sie sicher, dass die letzte Gleichung, die Sie auswählen, diejenige ist, an der Sie ausrichten möchten.
Wählen Sie .

Wählen Sie die gewünschte Ausrichtung und klicken Sie auf OK.
Platzieren Sie den manuellen Ausrichtungspunkt in einer der auszurichtenden Gleichungen.
Wenn Sie keinen manuellen Ausrichtungspunkt festlegen, richtet FrameMaker Gleichungen linksbündig aus.
Klicken Sie in der Gleichung und wählen Sie .
Wählen Sie im Popupmenü „Ausrichtung“ die Option „Manuell“ und legen Sie unter „Abstand des Ausrichtungspunkts“ die Position des Ausrichtungspunktes innerhalb des Rahmens fest. Der linke Abstand ist der Abstand zwischen dem linken Rand des Rahmens und dem manuellen Ausrichtungspunkt.
Der obere Abstand muss nicht genau festgelegt werden. Sie können die Gleichung wie alle anderen Objekte nach oben oder nach unten verschieben.
Klicken Sie auf Festlegen.
Wiederholen Sie die Schritte 1 bis 4 für jede Gleichung, die ausgerichtet werden soll. Verwenden Sie für jede Gleichung denselben Abstand zwischen dem linken Rand und dem Ausrichtungspunkt, ändern Sie aber den oberen Abstand, um die Gleichung vertikal im Rahmen zu positionieren. Befinden sich die auszurichtenden Gleichungen in unterschiedlichen verankerten Rahmen, müssen Sie darauf achten, dass die linken Ränder der Rahmen aneinander ausgerichtet sind.
Erfahren Sie, wie Sie Schriftart- und Formateinstellungen für Gleichungen in FrameMaker ändern.
Ein Dokument besitzt Schrifteinstellungen, die für alle Gleichungen des Dokuments wirksam sind. Diese Einstellungen bestimmen den Schriftgrad und den Abstand für kleine, normale und große Gleichungen. Sie legen außerdem das Zeichenformat fest, das für griechische Buchstaben, für Symbole, Funktionen, Ziffern und Variablen benutzt wird.
Sie können die vordefinierte Größe der gesamten Gleichung ändern. Sie können auch das Zeichenformat einzelner FrameMath-Elemente ändern (z. B. die Farbe oder eine bestimmte Schrift).
Es ist auch möglich, die Schriftgrade und Zeichenformate zu ändern, die für alle Gleichungen in einem Dokument verwendet werden.
Die Eigenschaften für Zeichenabstand, Streckung, Hochstellung, Tiefstellung, Unterstreichung, Überstreichung, Durchstreichung, Änderungsbalken oder Unterschneidung lassen sich für kein Element ändern. Auch die Schriftfamilie kann für einzelne griechische Buchstaben und Symbole und für einige Operatoren nicht geändert werden.
Um die vordefinierte Größe oder Farbe einer Gleichung zu ändern, klicken Sie in der Gleichung, wählen Sie , und führen Sie einen der folgenden Schritte durch:
Um die Größe der Gleichung zu ändern, wählen Sie eine Größe aus dem Popupmenü Größe, und klicken Sie auf Festlegen. Eingepasste Gleichungen werden von FrameMaker neu eingepasst.
Um die Farbe der Gleichung zu ändern, wählen Sie eine Farbe aus dem Popupmenü Farbe, und klicken Sie auf Festlegen.
Um das Zeichenformat zu ändern, wählen Sie das Element oder den Ausdruck aus und ändern das Format wie bei Text.
Um ein hoch- oder tiefgestelltes Zeichen zu erstellen, fügen Sie den gewünschten Operator ein.
Um den Zeichenabstand zu ändern, führen Sie die Feinpositionierung der Zeichen auf der Seite „Positionierung“ des Pods Gleichungen durch.
Um eine Zeile oberhalb oder unterhalb einer Gleichung einzufügen, verwenden Sie die diakritischen Zeichen auf der Seite „Symbole“ im Pod Gleichungen.
Sie können Schriftgrad und Abstand für alle kleinen, normalen und großen Gleichungen in einem Dokument ändern. Bei einer solchen globalen Änderung formatiert FrameMaker alle Gleichungen im Dokument neu und passt alle eingepassten Gleichungen neu ein.
Griechische Zeichen und Symbole in Gleichungen werden normalerweise in der Schrift „Symbol“ angezeigt. Sie können auch Schriften wie „Mathematical Pi“ und „Universal Greek“ verwenden, sofern diese Schriften auf Ihrem System installiert sind.
Für die Darstellung von Funktionen, Ziffern und Zeichenfolgen wird normalerweise die Schrift Times New Roman oder Times verwendet. Variablen werden in der Regel kursiv dargestellt. Das Zeichenformat kann für jedes dieser Elemente geändert werden. Sie können z. B. alle Elemente in Helvetica anzeigen und für Funktionen und Variablen zusätzlich Fettschrift verwenden.
Wählen Sie im Pod Gleichungen im Popupmenü „Gleichung“ die Option „Schriftgrade für Gleichungen“, um Folgendes zu ändern:
Um die Gleichungsschriften im gesamten Dokument zu ändern, führen Sie einen der folgenden Schritte aus:
Legen Sie die Schriftgrade und den Zeichenabstand fest und klicken Sie auf Zuweisen. Der Zeichenabstand wird als prozentualer Schriftgradanteil ausgedrückt. Positive Werte vergrößern den Abstand um die Elemente, negative Werte verringern ihn.
Klicken Sie auf Standardwerte abrufen.
Um die Schriftart für griechische Zeichen und Symbole zu ändern, wählen Sie eine der verfügbaren Schriftarten im Popupmenü FrameMath-Symbole, und klicken Sie auf Festlegen.
Um das Zeichenformat für Funktionen, Ziffern, Zeichenfolgen und Variablen zu ändern, erstellen Sie zuerst das gewünschte Zeichenformat. Wählen Sie dann das Zeichenformat aus den Popupmenüs Funktionen, Zahlen, Zeichenfolgen oder Variablen, und klicken Sie auf Festlegen. FrameMaker zeigt das erstellte Format im Popupmenü „Format“ an.
Wissen Sie, wie Gleichungen, Gleichungstransformation, Gleichungsmatrix, Addition, Multiplikation, Division, Regeln Pop-up und Überschreibungen in FrameMaker zu bewerten.
Nach der Erstellung eines Ausdrucks oder einer Gleichung können Sie ihn bzw. sie umwandeln, indem Sie die mathematische Darstellung ändern. Sie können beispielsweise Polynome multiplizieren, Terme ausklammern, Ausdrücke vereinfachen und Brüche zusammenfassen.
Ursprüngliche Auswahl |
|
Ausgeschrieben |
|
Ausmultipliziert |
|
Noch einmal ausmultipliziert |
|
Sie können einen Ausdruck auch auswerten, indem Sie Werte ersetzen und Berechnungen durchführen.
Ursprüngliche Auswahl |
|
Ausgeschrieben |
|
Wert ersetzt |
|
Ergebnis berechnet |
|
Wählen Sie den Ausdruck ganz oder teilweise aus.
Wählen Sie einen Befehl aus der Seite „Matrizen“ oder „Funktionen“ des Pods „Gleichungen“. Wählen Sie beispielsweise einen Ausdruck, und wählen Sie Ausmultiplizieren im Popupmenü Multiplikation auf der Seite Funktionen.
Um einen Ausdruck umzuwandeln oder zu berechnen, verwenden Sie die Befehle im Popupmenü Matrix-Befehle auf der Seite Matrizen und die sechs Popupmenüs auf der Seite Funktionen.
Transponiert Zeilen und Spalten der ausgewählten Matrix.
Ausgewählte Matrix |
Nach der Transponierung |
|---|---|
|
|
Führt Matrix-Multiplikation und -Addition durch und berechnet Skalar- und Vektorprodukte in einer ausgewählten Matrix.
Ausgewählte Matrix (oder Matrizen) |
Nach der Berechnung |
|---|---|
|
|
|
|
|
|
|
|
|
|
Nach der Durchführung der Matrix-Algebra können Sie mithilfe des Befehls „Vereinfachen“ ähnliche Terme zusammenfassen.
Addiert ausgewählte Brüche und drückt das Ergebnis als einzelnen Bruch aus. Dieser Befehl fasst auch ähnliche Terme zusammen.
Ausgewählter Bruch |
Nach der Addition |
|---|---|
|
|
|
|
|
|
Wenn der ausgewählte Ausdruck die Summe von mehr als zwei Brüchen enthält, addiert „Brüche addieren“ lediglich die beiden ersten. Verwenden Sie diesen Befehl wiederholt, um alle Brüche zusammenzufassen.
Ausgewählter Ausdruck |
|
Einmal addiert |
|
Zweimal addiert |
|
Ordnet Polynome nach absteigenden Potenzen einer ausgewählten Variablen an.
Vor der Sortierung |
Nach der Sortierung |
|---|---|
|
|
Ordnet Polynome nach aufsteigenden Potenzen einer ausgewählten Variablen. Im folgenden Beispiel wurde vor der Wahl von „Umgekehrt geordnete Summe“ ein (beliebiges) x ausgewählt.
Vor der Sortierung |
Nach der Sortierung |
|---|---|
|
|
Mit den Befehlen des Popupmenüs „Multiplikation“ auf der Seite „Funktionen“ können Terme ausgeklammert, Ausdrücke multipliziert und das Distributivgesetz angewendet werden.
Klammert einen ausgewählten Term aus einem Produkt aus.
Vor dem Ausklammern |
Nach dem Ausklammern |
|---|---|
|
|
|
|
Klammert einen ausgewählten Term nur aus den Termen aus, in denen er enthalten ist.
Vor dem Ausklammern |
Nach dem Ausklammern |
|---|---|
|
|
Vereinfacht den ausgewählten Ausdruck und multipliziert die Gleichung vor dem Addieren aus. Dieser Befehl entwickelt auch einen ausgewählten Term, der zu einer positiven ganzzahligen Potenz erhoben ist.
Ausgewählter Ausdruck |
Nach der Multiplikation |
|---|---|
|
|
|
|
Der Befehl „Vereinfachen“ vereinfacht ebenfalls den ausgewählten Ausdruck.
Multipliziert die ersten beiden Faktorpaare auf der linken Seite eines ausgewählten Ausdrucks.
Ausgewählter Ausdruck |
Nach der Multiplikation |
|---|---|
|
|
Wenn Sie diesen Befehl mehrmals verwenden, werden die Ergebnisse in anderer Form angezeigt.
Führt je nach gewähltem Ausdruck verschiedene Operationen durch. Nachstehend werden einige Beispiele gezeigt:
Wendet das Distributivgesetz an.
Ausgewählter Ausdruck |
Ergebnis |
|---|---|
|
|
Mit dem Befehl „Brüche addieren“ führen Sie die Umkehroperation durch.
Löst eine Klammer durch Ausmultiplizieren der eingeklammerten Summe auf.
Ausgewählter Ausdruck |
Ergebnis |
|---|---|
|
|
Mit dem Befehl „Ausklammern“ führen Sie die Umkehroperation durch.
Formt Produkte und Quotienten mit Wurzeln und Exponenten in einen einzelnen potenzierten Ausdruck um.
Ausgewählter Ausdruck |
Ergebnis |
|---|---|
|
|
|
|
|
|
Mit dem Befehl „Vereinfachen“ führen Sie die Umkehroperation durch.
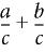
Führt auf beiden Seiten eines Gleichheitszeichens dieselbe Operation durch.
Ausgewählter Ausdruck |
Ergebnis |
|---|---|
|
|
|
|
|
|
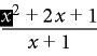
Führt eine Division mit Rest in einem Bruch durch, der in Zähler und Nenner ein Polynom enthält.
Im folgenden Beispiel wählen Sie vor der Auswahl von „Division mit Rest“ ein (beliebiges) x aus. Danach wählen Sie ein x im ersten Ergebnis aus und wählen erneut den Befehl „Division mit Rest“, um das zweite Ergebnis zu erhalten.
Vor der Division |
|
Einmal dividiert |
|
Zweimal dividiert |
|
Konvertiert in einem ausgewählten Ausdruck Division in Multiplikation, indem positive in negative Exponenten geändert werden und umgekehrt.
Ausgewählter Ausdruck |
Nach der Umwandlung |
|---|---|
|
|
|
|
Um negative Exponenten in eine Division umzuwandeln, verwenden Sie den Befehl „Negative Potenz umwandeln“.
Konvertiert wie „Division umwandeln“ Division in Multiplikation. Dieser Befehl gilt jedoch nur für die erste Stufe einer Division.
Ausgewählter Ausdruck |
Nach der Umwandlung |
|---|---|
|
|
|
|
Um die erste Stufe negativer Exponenten in Divisionsoperatoren umzuwandeln, verwenden Sie den Befehl „Negative Potenz Stufe 1 umwandeln“.
Konvertiert in einem ausgewählten Ausdruck negative Exponenten in Divisionsoperatoren, indem Multiplikation durch Division ersetzt wird (und umgekehrt).
Ausgewählter Ausdruck |
Nach Umwandlung negativer Potenzen |
|---|---|
|
|
|
|
Dieser Befehl hat dieselbe Funktion wie „Negative Potenz umwandeln“, gilt jedoch nur für die erste Stufe. Wenn der ausgewählte Ausdruck über keine negativen Exponenten in der ersten Stufe verfügt, hat dieser Befehl keine Wirkung.
Ausgewählter Ausdruck |
Nach Umwandlung negativer Potenzen |
|---|---|
|
|
|
|
Ändert in einem ausgewählten Ausdruck Ganzzahlen in Gleitkommazahlen und berechnet dann den Ausdruck.
Ausgewählter Ausdruck |
Nach der Berechnung |
|---|---|
|
|
|
|
|
|
|
|
Mit dem Befehl „Alle Stellen zeigen“ zeigen Sie bis zu 15 Dezimalstellen in einer Gleitkommazahl an.
„Ausrechnen“ zeigt für Operationen, die nicht definierte Ergebnisse liefern, „NaN“ (Not a Number = keine Zahl) an. Für Operationen, die zu große Werte liefern, wird „Unendlich“ angezeigt. Kleine Zahlen können zu null ausgewertet werden.
Ausgewählter Ausdruck |
Nach der Berechnung |
|---|---|
|
|
|
|
Zeigt die volle Anzahl der Stellen einer Gleitkommazahl in Rechnergenauigkeit.
Ausgewählte Zahl |
Ergebnis |
|---|---|
|
|
Berechnen des ausgewählten Ausdrucks. Die durchgeführten Operationen hängen von der Art des Ausdrucks ab. Nachstehend finden Sie einige Beispiele.
Umformen eines Ausdrucks, der zu einer Potenz von weniger als 20 erhoben ist, in ein Produkt.
Ausgewählter Ausdruck |
Nach der Berechnung |
|---|---|
|
|
Berechnen der Fakultät für eine Ganzzahl. Wenn das Ergebnis zu groß ist, um berechnet zu werden, wird „Unendlich“ als Ergebnis angezeigt.
Ausgewählter Ausdruck |
Nach der Berechnung |
|---|---|
|
|
Berechnen der Determinante einer 1 x 1- oder 2 x 2-Matrix.
Ausgewählter Ausdruck |
Nach der Berechnung |
|---|---|
|
|
Herausziehen eines Terms aus einer Summe oder einem Produkt
Ausgewählter Ausdruck |
Nach der Berechnung |
|---|---|
|
|
Berechnen einer Ersetzung (wie mit dem Befehl „Einsetzen“)
Umformen eines Operators „Berechnen“ in eine Differenz
Ausgewählter Ausdruck |
Nach der Berechnung |
|---|---|
|
|
Umformen des Logarithmus eines Produkts in eine Summe von Logarithmen; Umformen eines potenzierten Logarithmus in ein Produkt.
Ausgewählter Ausdruck |
Nach der Berechnung |
|---|---|
|
|
|
|
Umformen eines Logarithmus zu einer Basis mit natürlichen Logarithmen.
Ausgewählter Ausdruck |
Nach der Berechnung |
|---|---|
|
|
Umformen einer Binominalfunktion in einen Ausdruck von Fakultäten
Ausgewählter Ausdruck |
Nach der Berechnung |
|---|---|
|
|
Führt eine angegebene Substitution durch und vereinfacht dann den Ausdruck. Wenn ein Operator „Berechnen“ ausgewählt ist, formt dieser Befehl den Ausdruck in eine Differenz um.
Ausgewählter Ausdruck |
Nach der Berechnung |
|---|---|
|
|
|
|
Formt ein ausgewähltes Integral mit einem polynominalen Integranden um. Dieser Befehl formt ein bestimmtes Integral in ein unbestimmtes Integral um, das zwischen den oberen und unteren Grenzen berechnet wird. Verwenden Sie „Integrieren“ mehrmals, um einen polynominalen Ausdruck vollständig zu integrieren.
Ausgewählter Ausdruck |
|
Einmal ausgewertet |
|
Zweimal ausgewertet |
|
Berechnet eine ausgewählte Ableitung und wendet bei Bedarf die Kettenregel auf komplexe Ausdrücke an. Dieser Befehl berechnet eine partielle Ableitung nur dann, wenn alle Abhängigkeiten explizit angegeben sind.
Der Befehl behandelt Elemente einer totalen Ableitung, als hingen sie von der Variablen der Differenzierung ab. Verwenden Sie für die Berechnung einer n-ten Ableitung zunächst den Befehl „Berechnen“, um sie zu entwickeln, bevor Sie den Befehl „Ableiten“ anwenden.
Vorher |
Nachher |
|---|---|
|
|
|
|
Berechnet nur die erste Stufe einer ausgewählten Ableitung.
Vorher |
Nachher |
|---|---|
|
|
Das Popupmenü „Regeln“ auf der Seite „Funktionen“ dient der Speicherung und Anwendung von Regeln für die Umformung von Ausdrücken.
Sie könnten z. B. mithilfe von „Regel eingeben“ eine Regel wie a = a + 3 speichern. Verwenden Sie dann „Regel anwenden“, um a in einem anderen Ausdruck durch a + 3 zu ersetzen.
Speichert eine Regel für das Ersetzen eines Ausdrucks durch einen anderen. Wählen Sie den Ausdruck aus, den Sie als Regel speichern möchten, bevor Sie Regel eingeben wählen. Sie können jeweils nur eine Regel speichern.
Legt einen ausgewählten Term als Platzhalter fest. Ein Platzhalter in einer Regel ermöglicht das Ersetzen des Ausdrucks auf der rechten Seite der Regel für jede Variable, nicht nur für die explizit auf der linken Seite genannte Variable. Ein Platzhalter wird in Fettschrift dargestellt. Wenn Sie z. B. x in der Regel x = a 2 als Platzhalter verwenden, können Sie a 2 oder x für jede Variable in einem Ausdruck einsetzen.
Wählen Sie den Term aus, den Sie als Platzhalter verwenden möchten, bevor Sie Platzhalter festlegen wählen. Ersetzen Sie dann mit dem Befehl Regel anwenden einen ausgewählten Ausdruck durch den Ausdruck, der dem Platzhalter zugewiesen wurde.
Ersetzt in einem ausgewählten Ausdruck einen oder mehrere Terme durch einen oder mehrere andere Terme und verwendet dabei die Regel, die mit dem Befehl Regel eingeben gespeichert wurde.
Eingegebene Regel |
|
Ausgewählter Ausdruck |
|
Nach Anwenden der Regel |
|
Bevor Sie eine Regel anwenden, die eine Platzhalter-Variable enthält, wählen Sie den Term aus, der den Platzhalter ersetzen soll. Im folgenden Beispiel ist x der Platzhalter in der Regel.
Eingegebene Regel |
|
Vor Anwenden der Regel |
|
Nach Anwenden der Regel |
|
Vereinfacht den ausgewählten Ausdruck. Um Brüche zu berechnen, die unendlich sind oder eine Division durch Null enthalten, verwenden Sie anstelle von „Vereinfachen“ den Befehl „Ausrechnen“.
Die durchgeführten Operationen hängen von der Art des Ausdrucks ab. Nachstehend finden Sie einige Beispiele.
Ganzzahlen-Arithmetik
Ausgewählter Ausdruck |
Nach der Vereinfachung |
|---|---|
|
|
|
|
|
|
Wenn das Ergebnis zu groß ist, um berechnet zu werden, wird „Unendlich“ als Ergebnis angezeigt.
Gruppieren von Termen in einer Summe oder in einem Produkt.
Ausgewählter Ausdruck |
Nach der Vereinfachung |
|---|---|
|
|
|
|
|
|
Dividiert gemeinsame Faktoren in einem Bruch aus.
Ausgewählter Ausdruck |
Nach der Vereinfachung |
|---|---|
|
|
|
|
Verwenden Sie den Befehl „Negative Potenz umwandeln“, um negative Potenzen aus dem Ergebnis zu entfernen.
Interpretiert die komplexe Zahl i, repräsentiert durch den griechischen Buchstaben Iota (
).
Ausgewählter Ausdruck |
Nach der Vereinfachung |
|---|---|
|
|
Löst die Klammer auf, indem der Exponent auf den Ausdruck in der Klammer angewendet wird, falls es sich dabei um Multiplikation oder Division handelt.
Ausgewählter Ausdruck |
Nach der Vereinfachung |
|---|---|
|
|
|
|
Vereinfachung
x ergibt das Ergebnis
und nicht
.
Vereinfacht wie der Befehl „Vereinfachen“ den ausgewählten Ausdruck, multipliziert jedoch Brüche nicht aus.
Ausgewählter Ausdruck |
Nach der Vereinfachung |
|---|---|
|
|
Isoliert einen ausgewählten Ausdruck auf einer Seite des Gleichheitszeichens. Dieser Befehl fasst keine Terme zusammen und löst den ausgewählten Ausdruck nicht auf.
Ausgewählter Ausdruck |
Nach der Isolierung |
|---|---|
|
|
|
|
|
|
Entwickelt den ersten Term einer ausgewählten Summe oder eines ausgewählten Produkts.
Ausgewählter Ausdruck |
Nach dem Entwickeln |
|---|---|
|
|
|
|
Entwickelt alle Terme einer ausgewählten Summe oder eines ausgewählten Produkts.
Ausgewählter Ausdruck |
Nach dem Entwickeln |
|---|---|
|
|
|
|