FrameMaker で数式エレメントと数式を挿入する方法と演算範囲について説明します。
数式には、数式エレメントから成り立つ式(数式パネル上の文字、テキスト文字列、演算子、およびその他の数学的なエレメントなど)が含まれます。

A. 英数字 B. 文字列 C. 式 D. 演算子
数式オブジェクトの作成後、数式エレメントを入力するか、数式 パネルでそれらのエレメントをクリックして数式エレメントを挿入します。キーボードからアイテムを挿入するときに、数式パネルを閉じることができます。
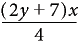
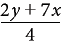
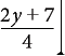
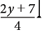
数式に数式エレメントを挿入すると、FrameMaker によって数学的構文が調整されます。 結果は、選択または挿入ポイントの位置などの「演算の範囲」により異なります。 例えば、分数に「x」を挿入する場合、分子、分母または分数全体のどれが選択されているかによって異なります。
|
x を掛けた場合 |
結果 |
|---|---|
|
|
|
|
|
|
|
|
|
最初の例では、7 のみが x 倍になります。 2 番目の例では によってかっこが追加されています。これは 2y + 7 の式全体が x 倍になることを示しています。 最後の例では、分数全体が x 倍になります。 最初と最後の例にある挿入ポイントの大きさは、範囲を示しています。
数式の誤りのほとんどは、エレメントの挿入時に選択した演算の範囲が小さすぎたり大きすぎるなど不正確であることが原因です。 エレメントを挿入する前に、必要な範囲を慎重に選択します。