数式オブジェクトには、数式や式が通常 1 つ含まれていますが、 複数の式を含む水平配置または垂直配置の数式オブジェクトを設定できます。 配置を選択する場合、配置内の式はすべて 1 つのオブジェクトとして選択されます。

FrameMaker では、配置内で式が自動的に整列します。 配置を移動する場合、式はすべて相対的な位置を保持します。
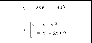
配置の最初のアイテムにする式か、配置に追加する式を選択します。
数式パネルの演算子ページ上で、水平配置エレメント(
)または垂直配置エレメント(
)をクリックします。数式エレメントを追加するには、エレメントを入力するか数式パネルのアイテムをクリックします。水平配置または垂直配置の式が表示されます。 選択した式が配置内の最初の項として表示されます。 2 つめの項は疑問符プロンプトとして配置内に表示されます。
|
クリック前 |
クリック後 |
|---|---|
|
|
|
|
|
|
|
|
|
最初の例では水平配置の式が挿入され、2 つめの例では垂直配置の式が挿入されています。 また、選択した式が配置内の最初の項になります。 最後の例では、垂直配置の式がより大きい式の一部として挿入されます。