Insertion d’opérateurs

La page Opérateurs sur le panneau Équations contient des opérateurs, des racines, des puissances, des signes, des indices, des exposants et des symboles logiques couramment utilisés.

Si une expression est sélectionnée lorsque vous insérez l’opérateur, elle devient le premier opérande. Les exemples suivants montrent le résultat de la sélection du signe plus Signe plus ou de l’opérateur de division Signe de division dans la page Opérateurs.

Avant

Après

Avant de cliquer sur le signe plus quand rien n’est sélectionné dans une expression

Résultat après avoir cliqué sur le signe plus quand rien n’est sélectionné dans une expression

Avant de cliquer sur le signe plus alors qu'une partie de l’expression est sélectionnée

Résultat après avoir cliqué sur le signe plus alors qu'une partie de l’expression est sélectionnée

Avant de cliquer sur l’opérateur de division alors qu'une partie de l’expression est sélectionnée

Résultat après avoir cliqué sur l’opérateur de division alors qu'une partie de l’expression est sélectionnée

Vous pouvez représenter l’opérateur de division par une barre oblique (/), une barre horizontale Signe Moins ou un signe de division Signe de division.

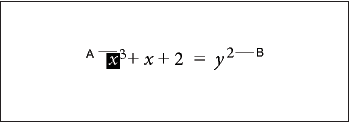
FrameMaker peut évaluer mathématiquement les exposants mais pas les indices supérieurs.

Figure 1. (A) Indice (B) Exposant
Exemple d’équation avec exposant dans FrameMaker