Découvrez comment insérer des éléments mathématiques et des expressions mathématiques, découvrez la portée des opérations dans FrameMaker.
Une équation contient des expressions constituées d'éléments mathématiques (caractères, chaînes de caractères, opérateurs et autres éléments mathématiques du panneau Équations .

A. Caractère alphanumérique B. Chaîne de texte C. Expression D. Opérateur
Une fois l’objet d’équation créé, insérez les éléments mathématiques en les saisissant ou en cliquant dessus dans le panneau Equations. Le panneau Équations peut être fermé lorsque vous insérez un élément à l'aide du clavier.
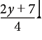
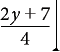
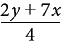
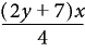
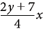
Lorsque vous insérez un élément mathématique dans une équation, FrameMaker ajuste la syntaxe mathématique. Le résultat dépend du domaine de l’opération, c’est-à-dire de la sélection ou de l’emplacement du point d’insertion. Par exemple, si vous insérez un x dans une fraction, le résultat dépendra de l’élément sélectionné : numérateur, dénominateur ou toute la fraction.
|
Si vous multipliez par x |
Le résultat sera |
|---|---|
|
|
|
|
|
|
|
|
|
Dans le premier exemple, seul 7 est multiplié par x. Dans le deuxième exemple, FrameMaker ajoute des parenthèses pour indiquer que l’ensemble de l’expression 2y + 7 est multiplié par x. Dans le dernier exemple, l’ensemble de la fraction est multiplié par x. La taille du point d’insertion dans les premier et dernier exemples indique le domaine.
La plupart des erreurs commises dans des équations proviennent du mauvais domaine de définition d’une opération. En général, trop ou pas assez d’éléments ont été sélectionnés. Veillez à effectuer la sélection appropriée avant d’insérer un élément.