Know how to insert math elements and mathematical expressions, know the scope of operations in FrameMaker.
An equation contains expressions made up of math elements—characters, text strings, operators, and other mathematical elements from the Equations panel.

A. Alphanumeric character B. Text string C. Expression D. Operator
After you create an equation object, insert math elements in it by typing them or by clicking them on the Equations panel. The Equations panel can be closed when you insert an item from the keyboard.
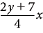
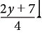
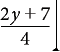
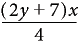
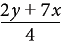
When you insert a math element in an equation, FrameMaker adjusts the mathematical syntax. The result depends on the scope of operation—the selection or the location of the insertion point. For example, when you insert x in a fraction, the result depends on whether the numerator, the denominator, or the entire fraction is selected.
If you multiply by x |
The result is |
|---|---|
|
|
|
|
|
|
In the first example, only the 7 is multiplied by x. In the second example, FrameMaker adds parentheses to show that the entire expression 2y + 7 is multiplied by x. In the last example, the entire fraction is multiplied by x. The size of the insertion point in the first and last examples indicates the scope.
Many mistakes in equations result from an incorrect scope of operation—having too little or too much selected when inserting an element. Be careful to select the range you want before inserting an element.