An equation object usually contains one equation or expression. You can set up a horizontal or vertical list in which several expressions are contained in the same object. When you select a list, all the expressions in the list are selected as one object.

FrameMaker aligns the expressions in the list automatically. When you move the list, all the expressions maintain their relative positions.
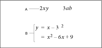
Select the expression you want to be the first item in the list or to add to a list.
On the Operators page of the Equations panel,
click the horizontal list element
or vertical list element
. To add a math element, type the elements
or click items on the Equations panel. A horizontal
or vertical list appears. The selected expression appears as the
first item in the list. A second item appears in the list as a question
mark prompt.
Before clicking |
After clicking |
|---|---|
|
|
|
|
|
|
In the first example, a horizontal list is inserted. In the second example, a vertical list is inserted, and the selected expression becomes the first item in the list. In the last example, a vertical list is inserted as part of a larger expression.