その他の書き換えドロップダウンリスト

簡略化

選択した式を簡略化します。 無限大またはゼロによる除算に関する分数の数値を求めるには、「簡略化」の代わりに「浮動小数点変換」を使用します。

次の例に示すように、実行される演算は選択した式の種類によって異なります。

  • 整数計算を実行します。

    選択した式

    簡略化の実行後

    「簡略化」で整数演算を実行する対象に選択した式

    簡略化後の結果

    「簡略化」で整数演算を実行する対象に選択した式

    簡略化後の結果

    「簡略化」で整数演算を実行する対象に選択した式

    簡略化後の結果

    結果が大きすぎて計算できない場合は、無限大として表示されます。

  • 項を和や積にグループ化します。

    選択した式

    簡略化の実行後

    「簡略化」コマンドを使用して項を和または積にグループ化する対象に選択した式

    簡略化後の結果

    「簡略化」コマンドを使用して項を和または積にグループ化する対象に選択した式

    簡略化後の結果

    「簡略化」コマンドを使用して項を和または積にグループ化する対象に選択した式

    簡略化後の結果

  • 約分します。

    選択した式

    簡略化の実行後

    「簡略化」コマンド約分の対象に選択した式

    簡略化後の結果

    「簡略化」コマンド約分の対象に選択した式

    簡略化後の結果

    結果から負の指数を変換するには、「分数変換」コマンドを使用します。

  • 複素数「i」を解釈します。この複素数は、ギリシャ語のイオタ(イオタ記号.

    選択した式

    簡略化の実行後

    「簡略化」コマンドを使用して複素数 i を解釈する対象に選択した式

    簡略化後の結果

  • 乗算と除算に指数を分配します。

    選択した式

    簡略化の実行後

    「簡略化」コマンドを使用して乗算に指数を分配する対象に選択した式

    簡略化後の結果

    「簡略化」コマンドを使用して除算に指数を分配する対象に選択した式

    簡略化後の結果

    簡略化 x の 2 乗の平方根を簡略化する x を簡略化すると、x の 2 乗の平方根を簡略化した結果 という結果になります。モジュロ x.

その他の簡略化

「簡略化」コマンドと同様に、選択した式を簡略化しますが、分数の乗算は行いません。

選択した式

簡略化の実行後

「簡略化」コマンドのいくつかを使用して、分数を乗算せずに選択した式を簡略化する

簡略化後の結果

項の分離

等号の片側の選択した式を分離します。 このコマンドは項を結合したり、選択した式を解いたりすることはありません。

選択した式

項の分離後

「項の分離」コマンドを使用して、等号の片側で選択した式を分離する

式を分離後の結果

「項の分離」コマンドを使用して、等号の片側で選択した式を分離する

式を分離後の結果

「項の分離」コマンドを使用して、等号の片側で選択した式を分離する

式を分離後の結果

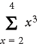
初項を展開

選択した和分や積の初項を展開します。

選択した式

展開後

「初項を展開」コマンドを使用して選択した和分の初項を展開する

式を展開後の結果

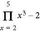
「初項を展開」コマンドを使用して選択した積の初項を展開する

式を展開後の結果

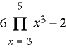
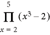
すべての項を展開

選択した和や積のすべての項を展開します。

選択した式

展開後

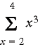
「すべての項を展開」コマンドを使用して選択した和分の項を展開する

式を展開後の結果

「すべての項を展開」コマンドを使用して選択した積の項を展開する

式を展開後の結果