追加ドロップダウンリスト

分数の加算

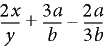
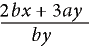
選択した分数を加算し、単独の分数として結果を表示します。 このコマンドも項のように組み合わせます。

選択した分数

加算後

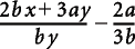
選択した分数 1

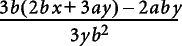
分数 1 追加後

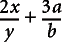
選択した分数 2

分数 2 追加後

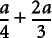
分数 3 選択後

分数 3 追加後

選択した式に 2 つ以上の分数の和が含まれている場合、「分数の加算」は最初の 2 つのみを加算します。 すべての分数を加算するには、このコマンドを繰り返し使用します。

選択した式

2 つ以上の分数の和を含む選択した式

1 回加算

2 つ以上の分数の和を含む式を 1 回加算

2 回加算

2 つ以上の分数の和を含む式を 2 回加算

降べき順

選択した変数の指数を減じる場合に多項式を調整します。

適用前

適用後

選択された変数の累乗を減じる多項式の順序付け前

選択された変数の累乗を減じる多項式の順序付け後

昇べき順

選択した変数の指数を加算する場合に多項式を調整します。 以下の例では、「昇べき順」を選択する前に、x—任意の x— を選択します。

適用前

適用後

選択された変数の累乗を増やす多項式の順序付け前

選択された変数の累乗を増やす多項式の順序付け後