除算ドロップダウンリスト

長除算

多項の分子や分母を含む分数の長除算を実行します。

以下の例では、「長除算」を選択する前に、xx は任意)を選択します。最初の結果の分数にある「x」を選択してもう一度「長除算」を選択すると、2 つめの結果が得られます。

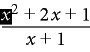
除算前

多項の分子や分母を含む分数の長除算を実行前

1 回除算

多項の分子や分母を含む分数の長除算を 1 回実行後

2 回除算

多項の分子や分母を含む分数の長除算を 2 回実行後

指数変換

分母の正の指数を負に、負の指数を正に変更し、選択した式で除算を乗算に変換します。

選択した式

指数変換後

指数変換を使用して選択した式 1 で除算を乗算に変換する

選択した式 1 で除算を乗算に変換後

指数変換を使用して選択した式 2 で除算を乗算に変換する

選択した式 2 で除算を乗算に変換後

負の指数を除算の演算子に変換するには、「分数変換」コマンドを使用します。

一次指数変換

「指数変換」コマンドと同様に、除算を乗算に変換しますが、第 1 レベルの演算子にのみ適用されます。

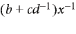
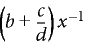
選択した式

指数変換後

第 1 レベルの指数変換を使用して選択した式 1 で除算を乗算に変換する

選択した式 1 で除算を乗算に変換後

第 1 レベルの指数変換を使用して選択した式 2 で除算を乗算に変換する

選択した式 2 で除算を乗算に変換後

第 1 レベルの負の指数を除算の演算子に変換するには、「一次分数変換」コマンドを使用します。

分数変換

乗算と除算を、除算と乗算を反対に入れ替えることで選択した式で、負の指数を正に変換します。

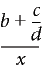
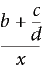
選択した式

分数変換後

分数変換を使用して選択した式 1 で負の指数を正に変換する

選択した式 1 で分数変換後

分数変換を使用して選択した式 2 で負の指数を正に変換する

選択した式 2 で分数変換後

一次分数変換

「分数変換」コマンドと同様に、負の指数を正に変換しますが、第 1 レベルの指数にのみ適用されます。 選択した式に第 1 レベルの負の指数がない場合は、このコマンドは無効です。

選択した式

分数変換後

第 1 レベルの分数変換を使用して選択した式 1 で負の指数を正に変換する

選択した式 1 で分数変換後

第 1 レベルの分数変換を使用して選択した式 2 で負の指数を正に変換する

選択した式 2 で分数変換後(変化なし)