演算ドロップダウンリスト

浮動小数点変換

選択した式で整数を浮動小数点数に変更し、式の数値を求めます。

選択した式

浮動小数点変換後

浮動小数点変換を使用して選択した式 1 で整数を浮動小数点数に変更した上で演算する

選択した式 1 で浮動小数点変換後

浮動小数点変換を使用して選択した式 2 で整数を浮動小数点数に変更した上で演算する

選択した式 2 で浮動小数点変換後

浮動小数点変換を使用して選択した式 3 で整数を浮動小数点数に変更した上で演算する

選択した式 3 で浮動小数点変換後

浮動小数点変換を使用して選択した式 4 で整数を浮動小数点数に変更した上で演算する

選択した式 4 で浮動小数点変換後

浮動小数点数で小数第 15 位まで示すには、「全桁表示」コマンドを使用します。

「不動小数点変換」は、不定値になる演算の場合の NaN(数でない)を表示します。 計算結果が膨大な値になる演算の場合に無限大を表示します。 極小数はゼロとして計算される場合があります。

選択した式

浮動小数点変換後

「不動小数点変換」を使用すると、式 1 の値が不定値になる演算の NaN(非数)が表示されます。

浮動小数点変換を式 1 に適用後

「不動小数点変換」を使用すると、式 2 の値が不定値になる演算の NaN(非数)が表示されます。

浮動小数点変換を式 2 に適用後

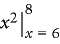
全桁表示

浮動小数点数を最後の桁まで正確に表示します。

選択した数

全桁表示後

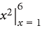
全桁表示に選択した数

全桁表示後

演算

選択した式の数値を求めます。 次の例に示すように、実行される演算は選択した式の種類によって異なります。

  • 指数が 20 未満の累乗式を積に書き換えます。

    選択した式

    演算後

    指数が 20 未満の累乗式を積に書き換える対象に選択した式

    累乗式を積に演算後

  • 整数の階乗を計算します。 結果が大きすぎて計算できない場合は、無限大として表示されます。

    選択した式

    演算後

    整数の階乗演算に選択した式

    整数の階乗演算後

  • 1 x 1 または 2 x 2 の行列を計算します。

    選択した式

    演算後

    行列式の演算に選択した式

    行列式を使用して式を演算後

  • 和または積から項を引き出します。

    選択した式

    演算後

    和または積から項を引き出す対象に選択した式

    和または積の項を使用して式を演算後

  • 「代入」コマンドと同様に置換を演算します。

  • 差の演算子を差に書き換えます。

    選択した式

    演算後

    差の演算子を差に書き換える対象に選択した式

    演算結果

  • 積の対数を対数の和に、累乗の対数を対数の積に書き換えます。

    選択した式

    演算後

    積の対数書き換えに選択した式

    演算結果

    積の対数書き換えに選択した式

    演算結果

  • 対数を自然対数に書き換えます。

    選択した式

    演算後

    対数を自然対数に書き換える対象に選択した式

    演算結果

  • 選択関数を階乗で表した式に書き換えます。

    選択した式

    演算後

    選択関数を階乗で表し書き換えるのに選択した式

    演算結果

代入

特定の置換を行ってから式を簡略化します。 差の演算子を選択すると、このコマンドにより式が差の形式に書き直されます。

選択した式

演算後

特定の置換を行い式を簡略化する対象として選択した式

演算結果

特定の置換を行い式を簡略化する対象として選択した式

演算結果

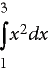
積分

選択した積分を多項の被積分関数に書き換えます。 このコマンドは、定積分を上限から下限の間で演算される不定積分に変換します。 多項式を完全に積分するには、「積分」を数回使用します。

選択した式

選択した積分を多項の被積分関数に書き換える対象に選択した式

演算を 1 回実行

式を 1 回演算後の結果

演算を 2 回実行

式を 2 回演算後の結果

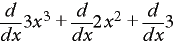
微分

選択した微分係数を演算し、必要に応じて連鎖を複雑な式に適用します。 すべての依存関係が明示的に記述されている場合のみ、部分微分を実行します。

このコマンドにより、エレメントは、微分変数に依存しているかのように、全体微分で処理されます。 「微分」コマンドを使用して演算を実行する前に、「演算」コマンドを使用して n 番目の微分係数を展開します。

式に微分適用前

式に微分適用後

式に微分適用前

式に微分適用後

一次微分

選択した微分のうち、第 1 レベルの微分係数のみを演算します。

選択した式に第 1 レベルで微分係数を演算前

選択した式に第 1 レベルで微分係数を演算後