乗算ドロップダウンリスト

項を因数分解したり、式を展開したり、加算に乗算と除算を分配するには、「関数」ページ上の乗算ドロップダウンリストを使用します。

因数分解

積から選択した項を因数分解します。

因数分解前

因数分解後

積から選択した項を因数分解前

積から選択した項を因数分解後

積から選択した項を因数分解前

積から選択した項を因数分解後

部分的因数分解

選択した項を含む項のみを因数分解します。

因数分解前

因数分解後

選択した項を含む項のみを因数分解前

選択した項を含む項のみを因数分解後

項の展開

選択した式を簡略化し、加算に乗算を分配し、正の整数乗で表されている選択した項を展開します。

選択した式

展開後

項展開に選択した式 1

項展開後の式 1

項展開に選択した式 2

項展開後の式 2

「簡略化」コマンドでも選択した式を簡略化できます。

項の一次展開

選択した式の左側の因数の最初の一対を展開します。

選択した式

展開後

左から 1 番目にある因数の対を展開する式を選択する

展開後の式

このコマンドを数回使用すると結果は別の形で表示されます。

分配

次の例のように、選択する式によって様々な演算を実行します。

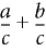
  • 加算に除算を分配します。

    選択した式

    分配後

    加算に除算を分配する式を選択する

    分配後の式

    逆算を行うには、「分数の加算」コマンドを使用します。

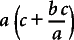
  • 加算に乗算を分配します。

    選択した式

    分配後

    加算に乗算を分配する式を選択する

    分配後の式

    逆算を行うには「因数分解」コマンドを使用します。

  • 根号や指数を含む積や商を、累乗となった単式に変換します。

    選択した式

    分配後

    累乗と指数を含む積と商をべき乗した単一の式に変換する - 例 1

    分配後の例 1

    累乗と指数を含む積と商をべき乗した単一の式に変換する - 例 2

    分配後の例 2

    累乗と指数を含む積と商をべき乗した単一の式に変換する - 例 3

    分配後の例 3

    逆算を行うには「簡略化」コマンドを使用します。

均等に分布

等号の両側で同じ演算を実行します。

選択した式

分配後

均等分配の対象に選択した式 - 例 1

分配後の例 1

均等分配の対象に選択した式 - 例 2

分配後の例 2

均等分配の対象に選択した式 - 例 3

分配後の例 3