Liste déroulante de la division

Division longue

Divise une fraction contenant un polynôme en numérateur et en dénominateur.

Dans l’exemple suivant, vous sélectionnez un x quelconque avant de lancer la commande. Dans le résultat, vous sélectionnez de nouveau un x, puis relancez la commande pour obtenir le second résultat.

Avant

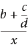
Avant d'effectuer une division longue dans une fraction contenant un polynôme en numérateur et en dénominateur

Première division

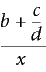
Après avoir effectué une division longue dans une fraction contenant un polynôme en numérateur et en dénominateur

Deuxième division

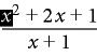
Après avoir effectué deux divisions longues dans une fraction contenant un polynôme en numérateur et en dénominateur

Enlever division

Convertit une division en multiplication dans une expression sélectionnée en transformant les exposants positifs dans un dénominateur en exposants négatifs et inversement.

Avant

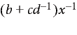
Après

Utilisation d'Enlever division pour convertir la division en multiplication dans l’expression sélectionnée 1

Après conversion de la division en multiplication dans l’expression sélectionnée 1

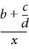
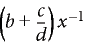
Utilisation d'Enlever division pour convertir la division en multiplication dans l’expression sélectionnée 2

Après conversion de la division en multiplication dans l’expression sélectionnée 2

Pour convertir des exposants négatifs en dénominateurs, utilisez la commande Enlever puissances négatives.

Enlever division 1er niveau

Convertit une division en multiplication tout comme la commande Enlever division, mais l’opération ne porte que sur les dénominateurs de premier niveau.

Avant

Après

Utilisation de Supprimer le niveau Division 1 pour convertir la division en multiplication dans l’expression sélectionnée 1

Après conversion de la division en multiplication dans l’expression sélectionnée 1

Utilisation de Supprimer le niveau Division 1 pour convertir la division en multiplication dans l’expression sélectionnée 2

Après conversion de la division en multiplication dans l’expression sélectionnée 2

Pour convertir les exposants négatifs de premier niveau en dénominateurs, utilisez la commande Enlever puissances négatives de premier niveau.

Enlever puissances négatives

Convertit les exposants négatifs d’une expression sélectionnée en exposants positifs en remplaçant le facteur par un dénominateur et inversement.

Avant

Après

Utilisation de Supprimer les pouvoirs puissances négatives pour convertir les exposants négatifs en exposants positifs dans l’expression sélectionnée 1

Après la suppression des puissances négatives de l’expression sélectionnée 1

Utilisation de Supprimer les pouvoirs puissances négatives pour convertir les exposants négatifs en exposants positifs dans l’expression sélectionnée 2

Après la suppression des puissances négatives de l’expression sélectionnée 2

Enlever puissances négatives 1er niveau

Convertit des exposants négatifs en exposants positifs tout comme la commande Enlever puissances négatives, mais l’opération ne porte que sur le premier niveau. Si l’expression sélectionnée ne comporte pas d’exposant négatif de premier niveau, la commande n’a aucun effet.

Avant

Après

Utilisation de Supprimer le niveau Puissances négatives 1 Niveau convertir les exposants négatifs en exposants positifs dans l’expression sélectionnée 1

Après la suppression des puissances négatives de l’expression sélectionnée 1

Utilisation de Supprimer le niveau Puissances négatives 1 Niveau convertir les exposants négatifs en exposants positifs dans l’expression sélectionnée 2

Après la suppression des puissances négatives de l’expression sélectionnée 2 (aucun effet)