Liste déroulante Autres réécritures

Simplifier

Simplifie l’expression sélectionnée. Pour calculer des fractions entraînant un résultat infini ou une division par zéro, utilisez la commande Calculer en virgule flottante au lieu de la commande Simplifier.

Les opérations effectuées dépendent du type d’expression sélectionnée, comme illustré dans les exemples suivants :

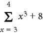
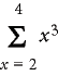
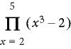
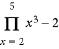
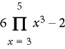
  • Opérations arithmétiques sur des nombres entiers

    Expression sélectionnée

    Après

    Expression sélectionnée pour effectuer des opérations arithmétiques sur des nombres entiers avec la commande Simplifier

    Résultat après avoir simplifié l’expression

    Expression sélectionnée pour effectuer des opérations arithmétiques sur des nombres entiers avec la commande Simplifier

    Résultat après avoir simplifié l’expression

    Expression sélectionnée pour effectuer des opérations arithmétiques sur des nombres entiers avec la commande Simplifier

    Résultat après avoir simplifié l’expression

    Si le résultat est trop grand, il s’exprime par la valeur infinie.

  • Groupement des termes d’une somme ou d’un produit

    Expression sélectionnée

    Après

    Expression sélectionnée pour grouper des termes dans une somme ou un produit avec la commande Simplifier

    Résultat après avoir simplifié l’expression

    Expression sélectionnée pour grouper des termes dans une somme ou un produit avec la commande Simplifier

    Résultat après avoir simplifié l’expression

    Expression sélectionnée pour grouper des termes dans une somme ou un produit avec la commande Simplifier

    Résultat après avoir simplifié l’expression

  • Réduction des facteurs communs d’une fraction

    Expression sélectionnée

    Après

    Expression sélectionnée pour diviser des facteurs communs dans une fraction avec la commande Simplifier

    Résultat après avoir simplifié l’expression

    Expression sélectionnée pour diviser des facteurs communs dans une fraction avec la commande Simplifier

    Résultat après avoir simplifié l’expression

    Pour supprimer les puissances négatives du résultat, utilisez la commande Enlever puissances négatives.

  • Interprétation du nombre complexe i représenté par le caractère grec iota symbole de iota.

    Expression sélectionnée

    Après

    Expression sélectionnée pour interpréter le nombre complexe i avec la commande Simplifier

    Résultat après avoir simplifié l’expression

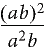
  • Élévation des facteurs d’un produit ou des termes d’une fraction à une puissance

    Expression sélectionnée

    Après

    Expression sélectionnée pour élever les facteurs d'un produit avec la commande Simplifier

    Résultat après avoir simplifié l’expression

    Expression sélectionnée pour élever les facteurs d'une divison avec la commande Simplifier

    Résultat après avoir simplifié l’expression

    La simplification de simplification de la racine carrée de x x produit résultat de la simplification de la racine carrée de x plutôt que mode x.

Simplifier partie

Simplifie l’expression sélectionnée comme la commande Simplifier mais ne multiplie pas les fractions.

Expression sélectionnée

Après

Utilisation de la commande Simplifier partie avec l’expression sélectionnée pour simplifier l’expression sélectionnée sans multiplier les fractions

Résultat après avoir simplifié l’expression

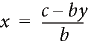
Isoler terme

Isole une expression sélectionnée d’un côté du signe égal. La commande ne combine pas les termes et ne résout pas l’expression.

Expression sélectionnée

Après

Utilisation de la commande Isoler terme pour isoler une expression sélectionnée d’un côté du signe égal

Résultat après avoir isolé l’expression

Utilisation de la commande Isoler terme pour isoler une expression sélectionnée d’un côté du signe égal

Résultat après avoir isolé l’expression

Utilisation de la commande Isoler terme pour isoler une expression sélectionnée d’un côté du signe égal

Résultat après avoir isolé l’expression

Dévelop. 1er terme

Développe le premier terme d’une somme ou d’un produit.

Expression sélectionnée

Après

Utilisation de la commande Dévelop. 1er terme pour développer le premier terme d’une somme sélectionnée

Résultat après avoir développé l’expression

Utilisation de la commande Dévelop. 1er terme pour développer le premier terme d’un produit sélectionné

Résultat après avoir développé l’expression

Dévelop. tous termes

Développe tous les termes d’une somme ou d’un produit.

Expression sélectionnée

Après

Utilisation de la commande Dévelop. tous termes pour élargir les termes d’une somme sélectionnée

Résultat après avoir développé l’expression

Utilisation de la commande Dévelop. tous termes pour élargir les termes d’un produit sélectionné

Résultat après avoir développé l’expression