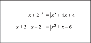
Vous pouvez aligner plusieurs objets d’équation les uns sur les autres dans un cadre tout comme vous le feriez avec d’autres objets. Vous pouvez également aligner des objets d’équation sur un point d’alignement manuel, même s’ils se trouvent dans des cadres graphiques distincts.

FrameMaker conserve l’alignement des objets d’équation lorsque vous modifiez les équations. Ainsi, lorsque deux équations sont alignées à gauche, cet alignement est conservé si vous réduisez ou développez les équations.
Pour sélectionner les équations à aligner, maintenez la touche Ctrl enfoncée et cliquez sur la première équation, puis maintenez les touches Ctrl+Maj enfoncées et cliquez sur les autres équations.
Veillez à ce que la dernière équation sélectionnée soit bien celle qui régisse l’alignement.
Sélectionnez .

Sélectionnez l’alignement souhaité et cliquez sur OK.