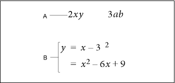
Un objet d’équation contient généralement une équation ou une expression. Vous pouvez établir une liste horizontale ou verticale comprenant plusieurs expressions sous la forme d’un même objet. Lors de la sélection d’une liste, toutes les expressions de celle-ci ne représentent qu’un seul et unique objet.

Les expressions sont automatiquement alignées dans la liste. Lorsque vous la déplacez, la position relative des expressions ne change pas.
Sélectionnez l’expression à placer en début de liste ou à ajouter à une liste.
Sur la page Opérateurs du panneau Equations , cliquez sur l’élément de liste horizontale
ou verticales
. Pour ajouter un élément mathématique, saisissez les éléments ou cliquez dessus dans le panneau Équations . Une liste horizontale ou verticale s’affiche. L’expression sélectionnée s’affiche en début de liste. Un deuxième élément apparaît dans la liste sous forme de point d’interrogation.
|
Avant |
Après |
|---|---|
|
|
|
|
|
|
|
|
|
Dans le premier exemple, une liste horizontale est insérée. Dans le deuxième exemple, une liste verticale est insérée et l’expression sélectionnée devient le premier élément de la liste. Dans le dernier exemple, une liste verticale est insérée sous forme d’expression plus importante.