Liste déroulante des ajouts

Ajouter fractions

Additionne des fractions et exprime le résultat sous une seule fraction. Cette commande combine également les termes similaires.

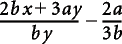
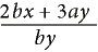
Fraction sélectionnée 

Après

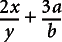
Fraction sélectionnée 1

Après ajout de la fraction 1

Fraction sélectionnée 2

Après ajout de la fraction 2

Fraction sélectionnée 3

Après ajout de la fraction 3

Si l’expression sélectionnée contient plus de deux fractions, la commande Ajouter fractions n’additionne que les deux premières. Utilisez de nouveau cette commande pour combiner le résultat à la troisième fraction et ainsi de suite.

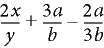
Expression sélectionnée

Expression sélectionnée contenant une somme de plus de deux fractions

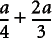
Premier ajout

Ajout de l’expression contenant une somme de plus de deux fractions une fois

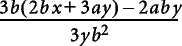
Deuxième ajout

Ajout de l’expression contenant une somme de plus de deux fractions deux fois

Ordon. pol. décroissant

Ordonne les polynômes d’une variable choisie par puissance décroissante.

Avant

Après

Avant d’ordonner les polynômes d’une variable choisie par puissance décroissante.

Après avoir ordonnée les polynômes d’une variable choisie par puissance décroissante.

Ordon. pol. croissant

Ordonne les polynômes d’une variable choisie par puissance croissante. Dans l’exemple suivant, vous sélectionnez un x quelconque avant de lancer la commande.

Avant

Après

Avant d’ordonner les polynômes d’une variable choisie par puissance croissante.

Après avoir ordonnée les polynômes d’une variable choisie par puissance croissante.