Liste déroulante Evaluation

Calculer en virgule flottante

Transforme les nombres entiers d’une expression sélectionnée en nombres à virgule flottante, puis calcule l’expression.

Expression sélectionnée

Après

Utilisation de Calculer en virgule flottante pour transformer des nombres entiers en nombres à virgule flottante dans l’expression sélectionnée 1, puis évaluation de l’expression

Après avoir utilisé Calculer en virgule flottante sur l’expression sélectionnée 1

Utilisation de Calculer en virgule flottante pour transformer des nombres entiers en nombres à virgule flottante dans l’expression sélectionnée 2, puis évaluation de l’expression

Après avoir utilisé Calculer en virgule flottante sur l’expression sélectionnée 2

Utilisation de Calculer en virgule flottante pour transformer des nombres entiers en nombres à virgule flottante dans l’expression sélectionnée 3, puis évaluation de l’expression

Après avoir utilisé Calculer en virgule flottante sur l’expression sélectionnée 3

Utilisation de Calculer en virgule flottante pour transformer des nombres entiers en nombres à virgule flottante dans l’expression sélectionnée 4, puis évaluation de l’expression

Après avoir utilisé Calculer en virgule flottante sur l’expression sélectionnée 4

Utilisez la commande Afficher tous les chiffres pour placer 15 chiffres après la virgule.

La commande Calculer en virgule flottante affiche l’expression NaN (Not a Number) lorsque le résultat correspond à une valeur non définie. Elle affiche Infini lorsque le résultat est une valeur tendant vers l’infini. Les valeurs proches de zéro peuvent s’exprimer par un zéro.

Expression sélectionnée

Après

L'utilisation de Calculer en virgule flottante affiche NaN (Not a Number) pour les opérations dont le résultat correspond à des valeurs non définies pour l’expression 1

Après avoir utilisé Calculer en virgule flottante sur l’expression 1

L'utilisation de Calculer en virgule flottante affiche NaN (Not a Number) pour les opérations dont le résultat correspond à des valeurs non définies pour l’expression 2

Après avoir utilisé Calculer en virgule flottante sur l’expression 2

Afficher tous les chiffres

Affiche toutes les décimales d’un nombre à virgule flottante.

Avant

Après

Nombre sélectionné pour afficher tous les chiffres

Après avoir affiché tous les chiffres

Calculer

Calcule l’expression sélectionnée. Les opérations effectuées dépendent du type d’expression sélectionnée, comme illustré dans les exemples suivants :

  • Transformation d’une expression élevée à une puissance inférieure à 20 en produit

    Expression sélectionnée

    Après

    Expression sélectionnée pour élever à une puissance inférieure à 20 comme produit

    Après avoir évalué l’expression avec la puissance élevée

  • Calcul de la factorielle d’un nombre entier (un résultat trop grand s’exprime par la valeur infinie)

    Expression sélectionnée

    Après

    Expression sélectionnée pour le calcul de la factorielle d’un nombre entier

    Après avoir évalué l’expression avec le factoriel d’un nombre entier

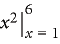
  • Calcul du déterminant d’une matrice 1 x 1 ou 2 x 2

    Expression sélectionnée

    Après

    Expression sélectionnée pour calculer le déterminant d’une matrice

    Après avoir évalué l’expression avec le déterminant d’une matrice

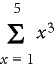
  • Extraction d’un terme d’une somme ou d’un produit

    Expression sélectionnée

    Après

    Expression sélectionnée pour extraire un terme d’une somme ou d’un produit

    Après avoir évalué l’expression avec un terme à partir d’une somme ou d’un produit

  • Calcul d’une substitution identique à celui de la commande Calculer après substitution

  • Réécriture d’une fonction entre ses deux bornes sous la forme d’une différence

    Expression sélectionnée

    Après

    Expression sélectionnée pour réécrire une fonction entre ses deux bornes sous la forme d’une différence

    Résultat après évaluation de l’expression

  • Conversion du logarithme d’un produit en somme de logarithmes et du logarithme d’une puissance en produit

    Expression sélectionnée

    Après

    Expression sélectionnée pour réécrire le logarithme d'un produit

    Résultat après évaluation de l’expression

    Expression sélectionnée pour réécrire le logarithme d’un produit

    Résultat après évaluation de l’expression

  • Conversion d’un logarithme en base de logarithmes naturels

    Expression sélectionnée

    Après

    Expression sélectionnée pour réécrire un logarithme sur une base en termes de logarithmes naturels

    Résultat après évaluation de l’expression

  • Réécriture d’une fonction de choix en factorielles

    Expression sélectionnée

    Après

    Expression sélectionnée pour rééecrire une fonction de choix en factorielles

    Résultat après évaluation de l’expression

Calculer après substitution

Effectue une substitution puis simplifie l’expression. Si vous sélectionnez un opérateur Evaluer entre, la commande transforme l’expression en différence.

Expression sélectionnée

Après

Expression sélectionnée pour effectuer une substitution spécifiée, puis simplifier l’expression

Résultat après évaluation de l’expression

Expression sélectionnée pour effectuer une substitution spécifiée, puis simplifier l’expression

Résultat après évaluation de l’expression

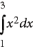
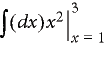
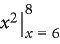
Calculer les intégrales

Transforme une intégrale sélectionnée en polynôme à intégrer. Cette commande convertit une intégrale définie en intégrale indéfinie, calculée entre les limites inférieure et supérieure. Utilisez la commande plusieurs fois pour intégrer complètement un polynôme.

Expression sélectionnée

Expression sélectionnée pour réécrire une intégrale sélectionnée en polynôme à intégrer.

Après premier calcul

Résultat après évaluation de l’expression une fois

Après deuxième calcul

Résultat après évaluation de l’expression deux fois

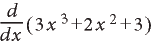
Calculer les dérivées

Calcule une dérivée sélectionnée en appliquant la règle conjointe aux expressions complexes, le cas échéant. Pour calculer une dérivée partielle, toutes les variables dépendantes doivent être explicitement écrites.

Cette commande traite les éléments d’une dérivée totale comme s’ils dépendaient de la variable de différenciation. Pour calculer la nième dérivée, utilisez la commande Calculer pour la développer, puis, seulement, Calculer les dérivées.

Avant

Après

Avant d’utiliser Calculer les dérivées sur une expression

Après avoir utilisé Calculer les dérivées sur une expression

Avant d’utiliser Calculer les dérivées sur une expression

Après avoir utilisé Calculer les dérivées sur une expression

Calculer dérivées 1er niveau

Calcule uniquement le premier niveau d’une dérivée sélectionnée.

Avant

Après

Avant d’utiliser Calculer les dérivées au premier niveau d’une dérivée sélectionnée

Après avoir utilisé Calculer les dérivées au premier niveau d’une dérivée sélectionnée