Insertion d’éléments de calcul

La page Calcul contient des intégrales, des dérivées, des dérivées partielles, des gradients et des limites.

Si une expression est sélectionnée lorsque vous insérez un élément de calcul, elle devient le premier opérande. Les exemples suivants affichent le résultat de la sélection du symbole d’intégrale Symbole d’intégrale dans la page Calcul.

Avant

Après

Avant de cliquer sur le signe d'intégrale à un point d’insertion

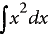
Résultat après avoir cliqué sur le signe d'intégrale à un point d’insertion

Avant de cliquer sur le signe d'intégrale dans une équation sélectionnée

Résultat après avoir cliqué sur le signe d'intégrale dans une équation sélectionnée

Vous pouvez modifier la position des opérandes et en insérer de nouveaux.