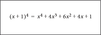
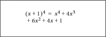
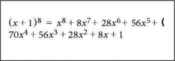
Même si une équation occupe plusieurs lignes, elle tient dans un seul cadre ancré. Vous pouvez définir automatiquement une équation sur plusieurs lignes. Si vous modifiez la largeur du saut de ligne, l’équation est reformatée en fonction de cette nouvelle valeur.


Vous pouvez aussi forcer un saut de ligne à un endroit spécifique de l’équation. Toutefois, n’utilisez pas de sauts de ligne manuels pour créer des équations séparées. Insérez plutôt une liste verticale d’expressions.
Vous pouvez modifier les sauts de ligne de diverses façons :
Pour modifier la largeur du saut de ligne automatique, cliquez sur l’équation ou sélectionnez une partie de celle-ci. Sélectionnez . Modifiez la valeur du champ Rupture de ligne auto. après, puis cliquez sur Définir. La valeur prédéfinie correspond à la largeur du cadre de l’équation.

Pour supprimer un saut de ligne manuel, sélectionnez la partie de l’équation contenant le symbole de saut de ligne. Dans la page Positionnement du panneau Équations , sélectionnez Manuel dans la liste déroulante Saut de ligne.