Types d’éléments mathématiques

Le type d’un élément mathématique définit son effet sur les éléments qui l’entourent. Par exemple, le signe plus (+) est du type infixe, ce qui signifie qu’il possède deux opérandes, l’un à gauche et l’autre à droite.

Vous pouvez définir les éléments mathématiques personnalisés de types suivants.

Type

Exemple

Nombre d’opérandes

Atome

Élément mathématique personnalisé – atome

Aucun

Délimiteur

Élément mathématique personnalisé – délimiteur

Un

Fonction

Élément mathématique personnalisé – fonction

Un, à droite de l’élément

Infixe

Élément mathématique personnalisé – Infixe

Deux, à gauche et à droite de l’élément

Grands

Élément mathématique personnalisé – Grand

Jusqu’à trois : un au-dessus, un au-dessous et un à droite de l’élément

Limite

Élément mathématique personnalisé – Limite

Jusqu’à deux : un au-dessous et un à droite de l’élément

Préfixe

Élément mathématique personnalisé – Préfixe

Un, à gauche de l’élément

Suffixe

Élément mathématique personnalisé – Suffixe

Un, à droite de l’élément

Liste verticale

Élément mathématique personnalisé – Liste verticale

Deux : un opérande au-dessus de l’autre. La ligne de texte qui définit une liste verticale personnalisée est utilisée comme séparateur entre les éléments de la liste.

Vous ne pouvez pas définir d’éléments mathématiques personnalisés de types suivants.

Type

Exemple

Dérivée

Élément mathématique – Dérivée

Signe diacritique

Élément mathématique – Signe diacritique

Liste horizontale

Élément mathématique – Liste horizontale

Matrice

Élément mathématique – Matrice

Racine

Élément mathématique – Racine

Script

Élément mathématique – Script

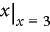
Substitution

Élément mathématique – Substitution

Barre de division verticale

Élément mathématique – Barre de division verticale