Liste déroulante Multiplication

Utilisez la liste déroulante Multiplication dans la page Fonctions pour factoriser les termes, développer les expressions et distribuer la multiplication et la division en addition.

Mise en facteur

Met en facteur le terme sélectionné d’un produit.

Avant

Après

Avant de factoriser un terme sélectionné d'un produit

Après avoir factorisé un terme sélectionné d'un produit

Avant de factoriser un terme sélectionné d'un produit

Après avoir factorisé un terme sélectionné d'un produit

Mise en facteur partielle

Met en facteur le terme sélectionné contenu dans d’autres termes.

Avant

Après

Avant de factoriser un terme sélectionné parmi les seuls termes le contenant

Après avoir factorisé un terme sélectionné parmi les seuls termes le contenant

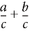
Développer

Simplifie l’expression sélectionnée, répartit les éléments d’une multiplication en somme de produits et développe un terme sélectionné élevé à une puissance positive.

Avant

Après

Expression 1 sélectionnée pour être multipliée

Expression 1 après qu’elle a été multipliée

Expression 2 sélectionnée pour être multipliée

Expression 2 après qu’elle a été multipliée

La commande Simplifier simplifie également l’expression sélectionnée.

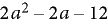
Développer une fois

Multiplie les deux premiers facteurs à gauche de l’expression sélectionnée.

Avant

Après

Sélection d’une expression pour multiplier la première paire de facteurs sur le côté gauche

L’expression après la multiplication

Si vous utilisez cette commande plusieurs fois, le résultat s’affiche sous une forme différente.

Répartir

Exécute diverses opérations en fonction de l’expression sélectionnée, comme illustré dans les exemples suivants :

  • Répartition d’une division en addition

    Avant

    Après

    Sélection d’une expression pour répartir la division en addition

    L’expression après la distribution

    Utilisez la commande Ajouter fractions pour exécuter l’opération inverse.

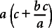
  • Répartition d’une multiplication en addition

    Avant

    Après

    Sélection d’une expression pour distribuer la multiplication en addition

    L’expression après la distribution

    Utilisez la commande Mise en facteur pour exécuter l’opération inverse.

  • Répartition de produits et de quotients avec racines et exposants en une expression élevée à une puissance

    Avant

    Après

    Transformation de produits et de quotients avec racines et exposants en une expression élevée à une puissance – exemple 1

    Exemple 1 après la répartition

    Transformation de produits et de quotients avec racines et exposants en une expression élevée à une puissance – exemple 2

    Exemple 2 après la répartition

    Transformation de produits et de quotients impliquant des radicaux et des exposants en une seule expression élevée à la puissance – exemple 3

    Exemple 3 après la répartition

    Utilisez la commande Simplifier pour exécuter l’opération inverse.

Répartir sur égalité

Exécute la même opération de chaque côté du signe égal.

Avant

Après

Expression choisie à répartir sur l’égalité – exemple 1

Exemple 1 après la répartition

Expression choisie à répartir sur l’égalité – exemple 2

Exemple 2 après la répartition

Expression choisie à répartir sur l’égalité – exemple 3

Exemple 3 après la répartition