Division Dropdown-Liste

Division mit Rest

Führt eine Division mit Rest in einem Bruch durch, der in Zähler und Nenner ein Polynom enthält.

Im folgenden Beispiel wählen Sie vor der Auswahl von „Division mit Rest“ ein (beliebiges) x aus. Danach wählen Sie ein x im ersten Ergebnis aus und wählen erneut den Befehl „Division mit Rest“, um das zweite Ergebnis zu erhalten.

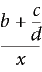
Vor der Division

Vor dem Ausführen einer Division mit Rest in einem Bruch, der einen polynomischen Zähler und Nenner enthält

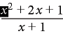
Einmal dividiert

Nach dem einmaligen Ausführen einer Division mit Rest in einem Bruch, der einen polynomischen Zähler und Nenner enthält

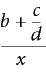
Zweimal dividiert

Nach dem zweimaligen Ausführen einer Division mit Rest in einem Bruch, der einen polynomischen Zähler und Nenner enthält

Division umwandeln

Konvertiert in einem ausgewählten Ausdruck Division in Multiplikation, indem positive in negative Exponenten geändert werden und umgekehrt.

Ausgewählter Ausdruck

Nach der Umwandlung

Verwenden von Devision entfernen, um Division in Multiplikation im ausgewählten Ausdruck 1 zu konvertieren

Nach dem Konvertieren der Division in Multiplikation im ausgewählten Ausdruck 1

Verwenden von Devision entfernen, um Division in Multiplikation im ausgewählten Ausdruck 2 zu konvertieren

Nach dem Konvertieren der Division in Multiplikation im ausgewählten Ausdruck 2

Um negative Exponenten in eine Division umzuwandeln, verwenden Sie den Befehl „Negative Potenz umwandeln“.

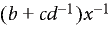
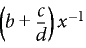
Division Stufe 1 umwandeln

Konvertiert wie „Division umwandeln“ Division in Multiplikation. Dieser Befehl gilt jedoch nur für die erste Stufe einer Division.

Ausgewählter Ausdruck

Nach der Umwandlung

Verwenden von Division1-Ebene entfernen, um Division in Multiplikation im ausgewählten Ausdruck 1 zu konvertieren

Nach dem Konvertieren der Division in Multiplikation im ausgewählten Ausdruck 1

Verwenden von Division 1-Ebene entfernen, um Division in Multiplikation im ausgewählten Ausdruck 2 zu konvertieren

Nach dem Konvertieren der Division in Multiplikation im ausgewählten Ausdruck 2

Um die erste Stufe negativer Exponenten in Divisionsoperatoren umzuwandeln, verwenden Sie den Befehl „Negative Potenz Stufe 1 umwandeln“.

Negative Potenz umwandeln

Konvertiert in einem ausgewählten Ausdruck negative Exponenten in Divisionsoperatoren, indem Multiplikation durch Division ersetzt wird (und umgekehrt).

Ausgewählter Ausdruck

Nach Umwandlung negativer Potenzen

Verwenden von Negativen Mächten entfernen, um negative Exponenten in einen ausgewählten Ausdruck in positiv zu konvertieren 1

Nach Dem Entfernen negativer Kräfte aus dem ausgewählten Ausdruck 1

Verwenden von Negativen Mächten entfernen, um negative Exponenten in einen ausgewählten Ausdruck in positiv zu konvertieren 2

Nach Dem Entfernen negativer Kräfte aus dem ausgewählten Ausdruck 2

Negative Potenz Stufe 1 umwandeln

Dieser Befehl hat dieselbe Funktion wie „Negative Potenz umwandeln“, gilt jedoch nur für die erste Stufe. Wenn der ausgewählte Ausdruck über keine negativen Exponenten in der ersten Stufe verfügt, hat dieser Befehl keine Wirkung.

Ausgewählter Ausdruck

Nach Umwandlung negativer Potenzen

Verwenden von Negative Kräfte entfernen 1 Stufe zum Konvertieren negativer Exponenten in positiv in ausgewählten Ausdruck 1

Nach Dem Entfernen negativer Kräfte aus dem ausgewählten Ausdruck 1

Verwenden von Negative Kräfte entfernen 1 Stufe zum Konvertieren negativer Exponenten in positiv in ausgewählten Ausdruck 2

Nach Dem Entfernen negativer Kräfte aus dem ausgewählten Ausdruck 2 (Keine Veränderung)