Andere Rewrites-Dropdown-Liste

Vereinfachen

Vereinfacht den ausgewählten Ausdruck. Um Brüche zu berechnen, die unendlich sind oder eine Division durch Null enthalten, verwenden Sie anstelle von „Vereinfachen“ den Befehl „Ausrechnen“.

Die durchgeführten Operationen hängen von der Art des Ausdrucks ab. Nachstehend finden Sie einige Beispiele.

  • Ganzzahlen-Arithmetik

    Ausgewählter Ausdruck

    Nach der Vereinfachung

    Ausgewählter Ausdruck zum Ausführen der Ganzzahlarithmetik mit dem Befehl Vereinfachen

    Ergebnis nach Vereinfachung des Ausdrucks

    Ausgewählter Ausdruck zum Ausführen der Ganzzahlarithmetik mit dem Befehl Vereinfachen

    Ergebnis nach Vereinfachung des Ausdrucks

    Ausgewählter Ausdruck zum Ausführen der Ganzzahlarithmetik mit dem Befehl Vereinfachen

    Ergebnis nach Vereinfachung des Ausdrucks

    Wenn das Ergebnis zu groß ist, um berechnet zu werden, wird „Unendlich“ als Ergebnis angezeigt.

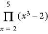
  • Gruppieren von Termen in einer Summe oder in einem Produkt.

    Ausgewählter Ausdruck

    Nach der Vereinfachung

    Ausgewählter Ausdruck zum Gruppieren von Begriffen in einer Summe oder einem Produkt mit dem Befehl Vereinfachen

    Ergebnis nach Vereinfachung des Ausdrucks

    Ausgewählter Ausdruck zum Gruppieren von Begriffen in einer Summe oder einem Produkt mit dem Befehl Vereinfachen

    Ergebnis nach Vereinfachung des Ausdrucks

    Ausgewählter Ausdruck zum Gruppieren von Begriffen in einer Summe oder einem Produkt mit dem Befehl Vereinfachen

    Ergebnis nach Vereinfachung des Ausdrucks

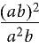
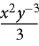
  • Dividiert gemeinsame Faktoren in einem Bruch aus.

    Ausgewählter Ausdruck

    Nach der Vereinfachung

    Ausgewählter Ausdruck zum Aufteilen gemeinsamer Faktoren in einem Bruch mit dem Befehl Vereinfachen

    Ergebnis nach Vereinfachung des Ausdrucks

    Ausgewählter Ausdruck zum Aufteilen gemeinsamer Faktoren in einem Bruch mit dem Befehl Vereinfachen

    Ergebnis nach Vereinfachung des Ausdrucks

    Verwenden Sie den Befehl „Negative Potenz umwandeln“, um negative Potenzen aus dem Ergebnis zu entfernen.

  • Interpretiert die komplexe Zahl i, repräsentiert durch den griechischen Buchstaben Iota Iota-Symbol.

    Ausgewählter Ausdruck

    Nach der Vereinfachung

    Ausgewählter Ausdruck zum Interpretieren der komplexen Zahl i mit dem Befehl Vereinfachen

    Ergebnis nach Vereinfachung des Ausdrucks

  • Löst die Klammer auf, indem der Exponent auf den Ausdruck in der Klammer angewendet wird, falls es sich dabei um Multiplikation oder Division handelt.

    Ausgewählter Ausdruck

    Nach der Vereinfachung

    Ausgewählter Ausdruck zum Verteilen der Exponentiation über die Multiplikation mit dem Befehl Vereinfachen

    Ergebnis nach Vereinfachung des Ausdrucks

    Ausgewählter Ausdruck zum Verteilen der Exponentiation über die Division mit dem Befehl Vereinfachen

    Ergebnis nach Vereinfachung des Ausdrucks

    Vereinfachung Wurzel von x-Quadrat vereinfachen x ergibt das Ergebnis Ergebnis der Vereinfachung der Wurzel von x-Quadrat und nicht Mod x.

Teilweise vereinfachen

Vereinfacht wie der Befehl „Vereinfachen“ den ausgewählten Ausdruck, multipliziert jedoch Brüche nicht aus.

Ausgewählter Ausdruck

Nach der Vereinfachung

Verwenden des Befehls "Einige vereinfachen" mit ausgewähltem Ausdruck, um den ausgewählten Ausdruck ohne Multiplikationsfraktionen zu vereinfachen

Ergebnis nach Vereinfachung des Ausdrucks

Term isolieren

Isoliert einen ausgewählten Ausdruck auf einer Seite des Gleichheitszeichens. Dieser Befehl fasst keine Terme zusammen und löst den ausgewählten Ausdruck nicht auf.

Ausgewählter Ausdruck

Nach der Isolierung

Verwenden des Befehls "Term isolieren", um einen ausgewählten Ausdruck auf einer Seite des Gleichheitszeichens zu isolieren

Ergebnis nach der Isolierung des Ausdrucks

Verwenden des Befehls "Term isolieren", um einen ausgewählten Ausdruck auf einer Seite des Gleichheitszeichens zu isolieren

Ergebnis nach der Isolierung des Ausdrucks

Verwenden des Befehls "Term isolieren", um einen ausgewählten Ausdruck auf einer Seite des Gleichheitszeichens zu isolieren

Ergebnis nach der Isolierung des Ausdrucks

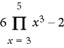
Term herausziehen

Entwickelt den ersten Term einer ausgewählten Summe oder eines ausgewählten Produkts.

Ausgewählter Ausdruck

Nach dem Entwickeln

Verwenden des Befehls "Erster Begriff erweitern", um den ersten Term einer ausgewählten Summe zu erweitern

Ergebnis nach dem Erweitern des Ausdrucks

Verwenden des Befehls "Erster Begriff erweitern", um den ersten Begriff eines ausgewählten Produkts zu erweitern

Ergebnis nach dem Erweitern des Ausdrucks

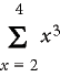
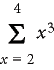
Alle Terme herausziehen

Entwickelt alle Terme einer ausgewählten Summe oder eines ausgewählten Produkts.

Ausgewählter Ausdruck

Nach dem Entwickeln

Verwenden des Befehls "Alle Begriffe erweitern", um die Bedingungen einer ausgewählten Summe zu erweitern

Ergebnis nach dem Erweitern des Ausdrucks

Verwenden des Befehls "All Term erweitern", um die Bedingungen eines ausgewählten Produkts zu erweitern

Ergebnis nach dem Erweitern des Ausdrucks