Dropdown-Liste der Evaluierung

Ausrechnen

Ändert in einem ausgewählten Ausdruck Ganzzahlen in Gleitkommazahlen und berechnet dann den Ausdruck.

Ausgewählter Ausdruck

Nach der Berechnung

Verwenden von Number Crunch zum Ändern von Ganzzahlen in Gleitkommazahlen im ausgewählten Ausdruck1 und anschließende Auswertung des Ausdrucks

Nach Verwendung von Number Crunch für den ausgewählten Ausdruck 1

Uusing Number Crunch zum Ändern von Ganzzahlen in Gleitkommazahlen im ausgewählten Ausdruck2 und anschließende Auswertung des Ausdrucks

Nach Verwendung von Number Crunch für den ausgewählten Ausdruck 2

Uusing Number Crunch zum Ändern von Ganzzahlen in Gleitkommazahlen im ausgewählten Ausdruck3 und anschließende Auswertung des Ausdrucks

Nach Verwendung von Number Crunch für den ausgewählten Ausdruck 3

Verwenden von Number Crunch zum Ändern von Ganzzahlen in Gleitkommazahlen im ausgewählten Ausdruck4 und anschließende Auswertung des Ausdrucks

Nach Verwendung von Number Crunch für den ausgewählten Ausdruck 4

Mit dem Befehl „Alle Stellen zeigen“ zeigen Sie bis zu 15 Dezimalstellen in einer Gleitkommazahl an.

„Ausrechnen“ zeigt für Operationen, die nicht definierte Ergebnisse liefern, „NaN“ (Not a Number = keine Zahl) an. Für Operationen, die zu große Werte liefern, wird „Unendlich“ angezeigt. Kleine Zahlen können zu null ausgewertet werden.

Ausgewählter Ausdruck

Nach der Berechnung

Mit Number Crunch wird NaN (Notal Number) für Vorgänge angezeigt, die zu nicht definierten Werten für Ausdruck 1 führen

Nach Verwendung von Number Crunch auf Ausdruck 1

Mit Number Crunch wird NaN (Notal Number) für Vorgänge angezeigt, die zu nicht definierten Werten für Ausdruck 2 führen

Nach Verwendung von Number Crunch auf Ausdruck 2

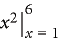
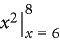
Alle Stellen zeigen

Zeigt die volle Anzahl der Stellen einer Gleitkommazahl in Rechnergenauigkeit.

Ausgewählte Zahl

Ergebnis

Ausgewählte Zahl, um alle Ziffern anzuzeigen

Ergebnis

Berechnen

Berechnen des ausgewählten Ausdrucks. Die durchgeführten Operationen hängen von der Art des Ausdrucks ab. Nachstehend finden Sie einige Beispiele.

  • Umformen eines Ausdrucks, der zu einer Potenz von weniger als 20 erhoben ist, in ein Produkt.

    Ausgewählter Ausdruck

    Nach der Berechnung

    Ausgewählter Ausdruck, der als Produkt auf einen machtlosen als 20 ergangenen Ausdruck erhöht werden soll

    Nach Auswertung des Ausdrucks mit erhöhter Leistung

  • Berechnen der Fakultät für eine Ganzzahl. Wenn das Ergebnis zu groß ist, um berechnet zu werden, wird „Unendlich“ als Ergebnis angezeigt.

    Ausgewählter Ausdruck

    Nach der Berechnung

    Ausgewählter Ausdruck zum Berechnen des Faktors einer ganzzahligen Zahl

    Nach Auswertung des Ausdrucks mit dem Faktorial einer ganzzahligen

  • Berechnen der Determinante einer 1 x 1- oder 2 x 2-Matrix.

    Ausgewählter Ausdruck

    Nach der Berechnung

    Ausgewählter Ausdruck zur Berechnung der Determinante einer Matrix

    Nach Auswertung des Ausdrucks mit der Determinante einer Matrix

  • Herausziehen eines Terms aus einer Summe oder einem Produkt

    Ausgewählter Ausdruck

    Nach der Berechnung

    Ausgewählter Ausdruck zum Extrahieren eines Begriffs aus einer Summe oder einem Produkt

    Nach Auswertung des Ausdrucks mit einem Begriff aus einer Summe oder einem Produkt

  • Berechnen einer Ersetzung (wie mit dem Befehl „Einsetzen“)

  • Umformen eines Operators „Berechnen“ in eine Differenz

    Ausgewählter Ausdruck

    Nach der Berechnung

    Ausgewählter Ausdruck zum Umschreiben eines Evaluate Between-Operators als Differenz

    Ergebnis nach Auswertung des Ausdrucks

  • Umformen des Logarithmus eines Produkts in eine Summe von Logarithmen; Umformen eines potenzierten Logarithmus in ein Produkt.

    Ausgewählter Ausdruck

    Nach der Berechnung

    Ausgewählter Ausdruck zum Umschreiben des Logarithmus eines Produkts

    Ergebnis nach Auswertung der Expresison

    Ausgewählter Ausdruck zum Umschreiben des Logarithmus eines Produkts

    Ergebnis nach Auswertung der Expresison

  • Umformen eines Logarithmus zu einer Basis mit natürlichen Logarithmen.

    Ausgewählter Ausdruck

    Nach der Berechnung

    Ausgewählter Ausdruck zum Umschreiben von Alogarithmus in eine Basis in Bezug auf natürliche Logarithmen

    Ergebnis nach Auswertung der Expresison

  • Umformen einer Binominalfunktion in einen Ausdruck von Fakultäten

    Ausgewählter Ausdruck

    Nach der Berechnung

    Ausgewählter Ausdruck zum Umschreiben einer Auswahlfunktion in Bezug auf Faktorials

    Ergebnis nach Auswertung der Expresison

Einsetzen

Führt eine angegebene Substitution durch und vereinfacht dann den Ausdruck. Wenn ein Operator „Berechnen“ ausgewählt ist, formt dieser Befehl den Ausdruck in eine Differenz um.

Ausgewählter Ausdruck

Nach der Berechnung

Ausgewählter Ausdruck, um eine angegebene Ersetzung durchzuführen und dann den Ausdruck zu vereinfachen

Ergebnis nach Auswertung der Expresison

Ausgewählter Ausdruck, um eine angegebene Ersetzung durchzuführen und dann den Ausdruck zu vereinfachen

Ergebnis nach Auswertung der Expresison

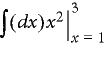
Integrieren

Formt ein ausgewähltes Integral mit einem polynominalen Integranden um. Dieser Befehl formt ein bestimmtes Integral in ein unbestimmtes Integral um, das zwischen den oberen und unteren Grenzen berechnet wird. Verwenden Sie „Integrieren“ mehrmals, um einen polynominalen Ausdruck vollständig zu integrieren.

Ausgewählter Ausdruck

Ausgewählter Ausdruck zum Umschreiben eines ausgewählten Integrals mit einem polynomiaden Integrand

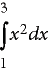
Einmal ausgewertet

Ergebnis nach einmaliger Auswertung des Ausdrucks

Zweimal ausgewertet

Ergebnis nach zweimaliger Auswertung des Ausdrucks

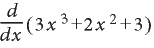
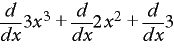
Ableiten

Berechnet eine ausgewählte Ableitung und wendet bei Bedarf die Kettenregel auf komplexe Ausdrücke an. Dieser Befehl berechnet eine partielle Ableitung nur dann, wenn alle Abhängigkeiten explizit angegeben sind.

Der Befehl behandelt Elemente einer totalen Ableitung, als hingen sie von der Variablen der Differenzierung ab. Verwenden Sie für die Berechnung einer n-ten Ableitung zunächst den Befehl „Berechnen“, um sie zu entwickeln, bevor Sie den Befehl „Ableiten“ anwenden.

Vorher

Nachher

Vor der Verwendung von Derivaten für einen Ausdruck

Nach Der Verwendung von Derivaten für einen Ausdruck

Vor der Verwendung von Derivaten für einen Ausdruck

Nach Der Verwendung von Derivaten für einen Ausdruck

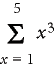
1. Stufe ableiten

Berechnet nur die erste Stufe einer ausgewählten Ableitung.

Vorher

Nachher

Vor der Verwendung von Evaluate Derivatives auf der ersten Ebene eines ausgewählten

Nach Verwendung von Evaluate Derivatives auf der ersten Ebene eines ausgewählten