Dropdown-Liste Multiplikation

Mit den Befehlen der Dropdown-Liste für Multiplikation auf der Seite „Funktionen“ können Terme ausgeklammert, Ausdrücke ausmultipliziert und das Distributivgesetz angewendet werden.

Ausklammern

Klammert einen ausgewählten Term aus einem Produkt aus.

Vor dem Ausklammern

Nach dem Ausklammern

Vor dem Ausklammern eines ausgewählten Terms aus einem Produkt

Nach dem Ausklammern eines ausgewählten Terms aus einem Produkt

Vor dem Ausklammern eines ausgewählten Terms aus einem Produkt

Nach dem Ausklammern eines ausgewählten Terms aus einem Produkt

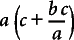
Teilweise ausklammern

Klammert einen ausgewählten Term nur aus den Termen aus, in denen er enthalten ist.

Vor dem Ausklammern

Nach dem Ausklammern

Vor dem Ausklammern eines ausgewählten Terms nur aus den Termen, in denen er enthalten ist

Nach dem Ausklammern eines ausgewählten Terms nur aus den Termen, in denen er enthalten ist

Ausmultiplizieren

Vereinfacht den ausgewählten Ausdruck und multipliziert die Gleichung vor dem Addieren aus. Dieser Befehl entwickelt auch einen ausgewählten Term, der zu einer positiven ganzzahligen Potenz erhoben ist.

Ausgewählter Ausdruck

Nach der Multiplikation

Ausdruck 1 ausgewählt, um multipliziert zu werden

Ausdruck 1, nachdem er multipliziert wurde

Ausdruck 2 ausgewählt, um multipliziert zu werden

Ausdruck 2, nachdem er multipliziert wurde

Der Befehl „Vereinfachen“ vereinfacht ebenfalls den ausgewählten Ausdruck.

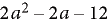
Einmal ausmultiplizieren

Multipliziert die ersten beiden Faktorpaare auf der linken Seite eines ausgewählten Ausdrucks.

Ausgewählter Ausdruck

Nach der Multiplikation

Auswählen eines Ausdrucks zum Multiplizieren des ersten Faktorpaares auf der linken Seite

Der Ausdruck nach der Multiplikation

Wenn Sie diesen Befehl mehrmals verwenden, werden die Ergebnisse in anderer Form angezeigt.

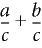
Verteilen

Führt je nach gewähltem Ausdruck verschiedene Operationen durch. Nachstehend werden einige Beispiele gezeigt:

  • Wendet das Distributivgesetz an.

    Ausgewählter Ausdruck

    Ergebnis

    Auswählen eines Ausdrucks zum Verteilen der Division über Addition

    Der Ausdruck nach der Verteilung

    Mit dem Befehl „Brüche addieren“ führen Sie die Umkehroperation durch.

  • Löst eine Klammer durch Ausmultiplizieren der eingeklammerten Summe auf.

    Ausgewählter Ausdruck

    Ergebnis

    Auswählen eines Ausdrucks zum Verteilen der Multiplikation über Addition

    Der Ausdruck nach der Verteilung

    Mit dem Befehl „Ausklammern“ führen Sie die Umkehroperation durch.

  • Formt Produkte und Quotienten mit Wurzeln und Exponenten in einen einzelnen potenzierten Ausdruck um.

    Ausgewählter Ausdruck

    Ergebnis

    Umwandeln von Produkten und Quotienten mit Wurzeln und Exponenten in einen einzelnen potenzierten Ausdruck – Beispiel 1

    Beispiel 1 nach der Distribution

    Umwandeln von Produkten und Quotienten mit Wurzeln und Exponenten in einen einzelnen potenzierten Ausdruck – Beispiel 2

    Beispiel 2 nach der Distribution

    Umwandlung von Produkten und Quotienten mit Radikalen und Exponenten in einen einzigen Ausdruck, der zu einer Macht erhoben wird – Beispiel 3

    Beispiel 3 nach der Distribution

    Mit dem Befehl „Vereinfachen“ führen Sie die Umkehroperation durch.

Auf beiden Seiten anwenden

Führt auf beiden Seiten eines Gleichheitszeichens dieselbe Operation durch.

Ausgewählter Ausdruck

Ergebnis

Ausgewählter Ausdruck zum Verteilen über Gleichheit (Beispiel 1)

Beispiel 1 nach der Distribution

Ausgewählter Ausdruck zum Verteilen über Gleichheit (Beispiel 2)

Beispiel 2 nach der Distribution

Ausgewählter Ausdruck zum Verteilen über Gleichheit (Beispiel 3)

Beispiel 3 nach der Distribution