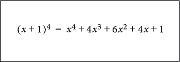
Wenn eine Gleichung in mehrere Zeilen umbrochen wird, bleibt sie in einem einzigen verankerten Rahmen. Sie können festlegen, wo die Zeilen in der Gleichung automatisch umbrochen werden. Wenn Sie die Zeilenlänge für den Umbruch ändern, wird die Gleichung entsprechend der neuen Breite neu formatiert.


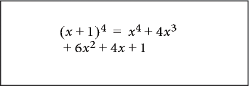
Sie können einen Zeilenumbruch an einer bestimmten Position in der Gleichung erzwingen. Verwenden Sie den manuellen Zeilenumbruch jedoch nicht zur Erstellung von separaten Gleichungen. Fügen Sie stattdessen eine vertikale Liste mit Ausdrücken ein.
Für Änderungen an den einzelnen Zeilenumbrüchen stehen Ihnen folgende Möglichkeiten zur Verfügung:
Um die automatische Zeilenlänge für den Umbruch zu ändern, klicken Sie in die Gleichung oder wählen Sie einen Teil der Gleichung aus. Wählen Sie . Bearbeiten Sie den Wert im Feld Automatischer Zeilenumbruch nach und klicken Sie auf Zuweisen. Der Wert ist auf die Rahmenbreite der Gleichung voreingestellt.

Um einen manuellen Zeilenumbruch zu entfernen, wählen Sie den Teil der Gleichung aus, in dem sich das Symbol für den Zeilenumbruch befindet. Wählen im Fenster Gleichungen auf der Seite Positionierung in der Dropdown-Liste Zeilenumbruch die Option Manuell löschen.