Dropdown-Liste für Addition

Brüche addieren

Addiert ausgewählte Brüche und drückt das Ergebnis als einzelnen Bruch aus. Dieser Befehl fasst auch ähnliche Terme zusammen.

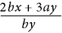
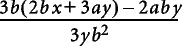
Ausgewählter Bruch

Nach der Addition

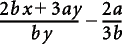
Ausgewählter Bruch 1

Nach dem Hinzufügen von Bruch 1

Ausgewählter Bruch 2

Nach dem Hinzufügen von Bruch 2

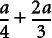
Ausgewählter Bruch 3

Nach dem Hinzufügen von Bruch 3

Wenn der ausgewählte Ausdruck die Summe von mehr als zwei Brüchen enthält, addiert „Brüche addieren“ lediglich die beiden ersten. Verwenden Sie diesen Befehl wiederholt, um alle Brüche zusammenzufassen.

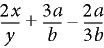
Ausgewählter Ausdruck

Ausgewählter Ausdruck mit einer Summe von mehr als zwei Brüchen

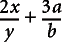
Einmal addiert

Hinzufügen des Ausdrucks, der die Summe von mehr als zwei Brüchen einmal enthält

Zweimal addiert

Hinzufügen des Ausdrucks, der eine Summe von mehr als zwei Brüchen zweimal enthält

Geordnete Summe

Ordnet Polynome nach absteigenden Potenzen einer ausgewählten Variablen an.

Vor der Sortierung

Nach der Sortierung

Vor dem Anordnen von Polynomen nach absteigenden Potenzen einer ausgewählten Variablen

Nach dem Anordnen von Polynomen nach absteigenden Potenzen einer ausgewählten Variablen

Umgekehrt geordnete Summe

Ordnet Polynome nach aufsteigenden Potenzen einer ausgewählten Variablen. Im folgenden Beispiel wurde vor der Wahl von „Umgekehrt geordnete Summe“ ein (beliebiges) x ausgewählt.

Vor der Sortierung

Nach der Sortierung

Vor dem Anordnen von Polynomen nach aufsteigenden Potenzen einer ausgewählten Variablen

Nach dem Anordnen von Polynomen nach aufsteigenden Potenzen einer ausgewählten Variablen