Wissen Sie, wie mathematische Elemente und mathematische Ausdrücke einfügen, kennen Sie den Umfang der Operationen in FrameMaker.
Eine Gleichung enthält aus FrameMath-Elementen bestehende Ausdrücke – Zeichen, Zeichenfolgen, Operatoren und andere mathematische Elemente aus dem Fenster Gleichungen.

A. Alphanumerisches Zeichen B. Textzeichenfolge C. Ausdruck D. Operator
Nach der Erstellung eines Gleichungsobjekts fügen Sie FrameMath-Elemente ein, indem Sie sie manuell eingeben oder im Fenster Gleichungen darauf klicken. Das Fenster Gleichungen kann geschlossen sein, wenn Sie ein Element mit der Tastatur eingeben.
Wenn Sie ein FrameMath-Element in eine Gleichung einfügen, korrigiert FrameMaker die mathematische Syntax. Das Ergebnis hängt vom Wirkungsbereich der Operation ab, d. h. von der Auswahl oder von der Position der Einfügemarke. Wenn Sie z. B. x in einen Bruch eingeben, hängt das Ergebnis davon ab, ob der Zähler, der Nenner oder der ganze Bruch ausgewählt ist.
|
Multiplikation mit x |
Ergebnis |
|---|---|
|
|
|
|
|
|
|
|
|
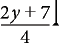
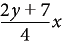
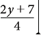
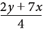
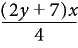
Im ersten Beispiel wird lediglich die 7 mit x multipliziert. Im zweiten Beispiel fügt FrameMaker runde Klammern hinzu, um anzuzeigen, dass der gesamte Ausdruck 2y + 7 mit x multipliziert wird. Im letzten Beispiel wird der gesamte Bruch mit x multipliziert. Die Größe der Einfügemarke im ersten und letzten Beispiel zeigt den Wirkungsbereich an.
Zahlreiche Fehler in Gleichungen resultieren aus einem fehlerhaften Wirkungsbereich, der beim Einfügen eines Elements entweder zu gering oder zu groß bemessen wurde. Gehen Sie bei der Auswahl des gewünschten Bereichs sorgfältig vor, bevor Sie ein Element einfügen.